2016. március 14.
A roma tanulók iskolák közötti megoszlása számottevően egyenlőtlenebbé vált az 1980-as évek eleje óta eltelt harminc évben Magyarországon. Az etnikai elkülönülés mértékét jelző szegregációs index értéke több mint kétszeresére – 0,1 alatti értékről 0,2 fölé – emelkedett a legalább két iskolával rendelkező iskolai vonzáskörzetekben (Kertesi és Kézdi, 2013). A szegregációs index növekedése a nagyobb városokban volt a legjelentősebb. Ennek a drámai folyamatnak az okaival és következményeivel reprezentatív adatfelvételeken1 és városi esettanulmányokon2 nyugvó, terjedelmes szociológiai irodalom foglalkozott az elmúlt másfél évtizedben. Tanulmányunk3 az itt felgyülemlett tudást igyekszik rendszerezni és általánosítani.
Havas 70 – I. kötet >>> [3]
Havas 70 – II. kötet>>> [4]
A roma tanulók iskolák közötti megoszlása számottevően egyenlőtlenebbé vált az 1980-as évek eleje óta eltelt harminc évben Magyarországon. Az etnikai elkülönülés mértékét jelző szegregációs index értéke több mint kétszeresére – 0,1 alatti értékről 0,2 fölé – emelkedett a legalább két iskolával rendelkező iskolai vonzáskörzetekben (Kertesi és Kézdi, 2013). A szegregációs index növekedése a nagyobb városokban volt a legjelentősebb. Ennek a drámai folyamatnak az okaival és következményeivel reprezentatív adatfelvételeken1 és városi esettanulmányokon2 nyugvó, terjedelmes szociológiai irodalom foglalkozott az elmúlt másfél évtizedben. Tanulmányunk3 az itt felgyülemlett tudást igyekszik rendszerezni és általánosítani.
Iskolai szegregáción a különböző családi hátterű, etnikai hovatartozású tanulók eltérő iskolákban történő oktatását szokás érteni. Ebben a tanulmányban az általános iskolákra (az 1–8. évfolyamra járó gyerekekre) és az etnikai alapon történő szegregációra összpontosítunk: milyen mértékben járnak a roma és nem roma tanulók azonos iskolákba, és milyen mértékben van lehetőségük iskolai környezetükben csoportközi kapcsolatokra? Az etnikai elkülönülés mértékét a szegregációs indexszel mérjük, amely 0 (minden iskolában azonosak az etnikai arányok) és 1 (teljes az elkülönülés) között vehet fel értékeket. A roma tanulók iskolai szegregációját országos államigazgatási adatfelvételek minden iskolára kiterjedő adatain vizsgáljuk. A tanulók körzetek közötti ingázását egyéni szintű, szintén országos adatbázis alapján határozzuk meg. A 100 magyarországi város helyi oktatáspolitikai gyakorlatára és lakóhelyi szegregációjára vonatkozó adatok egy általunk megtervezett kérdőíves adatfelvételből származnak. Az adatfelvételbe a legnagyobb roma népességgel rendelkező városokat vontuk be. Budapestet, mérete és a decentralizált kerületi struktúrája miatt, kihagytuk.
A magyar oktatási rendszer ismerete elengedhetetlen ahhoz, hogy az iskolai szegregáció lehetséges okait megértsük. Számos régióbeli országhoz hasonlóan az általános iskolák Magyarországon is döntően állami fenntartásban vannak, és a családok szabadon megválaszthatják, melyik iskolába kívánják gyerekeiket járatni. 2012-ig az iskolák fenntartói a helyi önkormányzatok voltak, és az iskolai költségvetés jelentős részét a tanulói létszám alapján meghatározott központi támogatás jelentette. Az önkormányzatok ezt egészítették ki a saját forrásaikkal. Az iskolai beiskolázási körzetek határait a helyi önkormányzatok határozták meg, és az iskolák számára kötelező volt a beiskolázási körzetükhöz tartozó tanköteles gyermek felvétele, ugyanakkor az iskolák körzeten kívüli gyerekeket is felvehettek. Ennek megfelelően az egyes iskolákba való beiratkozásokat a férőhelyek száma, a körzeten belülről és körzeten kívülről jelentkezők száma, illetve az önkormányzatoknak a körzethatárokat érintő döntései határozták meg. 2013-tól kezdve az oktatási rendszer központosítottabbá vált, de a szabad iskolaválasztás joga és az iskolák legfontosabb ösztönzői érintetlenek maradtak. Az elemzéseink a 2013 előtti rendszerre vonatkoznak.
Tanulmányunk fő újdonságát a helyi oktatáspolitika szegregációs-integrációs irányultságának mérése jelenti. Egy részletes kérdőív alapján interjúkat készítettünk az önkormányzatok oktatási hivatalának/osztályának vezetőjével, majd a kérdőívekben rögzített információk alapján tíz különböző mérési eszközzel (instrumentummal) próbáltuk a helyi oktatáspolitikának a szegregációra gyakorolt hatását számszerűsíteni. Az eredményeink azt mutatják, hogy a helyi iskolapolitika a tanulói mobilitás miatt termé- szetszerűleg kialakuló iskolai szegregációt jellemzően tovább erősíti. A helyi iskolapolitika szegregációt erősítő hatása országos átlagban viszonylag mérsékelt, az átlagos hatás mögött azonban igen jelentősek az egyes városok közötti különbségek: néhány város oktatáspolitikai gyakorlata az iskolák közötti egyenlőbb etnikai megoszlást segíti elő, míg más városoké jelentős mértékben hozzájárul az iskolák közötti etnikai elkülönüléshez.
Az alkalmazott helyi oktatáspolitikai eszköztár mérése mellett adatokat gyűjtöttünk a városokon belüli lakóhelyi szegregációról is. Helyi szakértőket kértünk fel arra, hogy általunk előzetesen megadott kisebb területi egységekre (szavazókörökre) nézve becsüljék meg az ott élő roma lakosok számát. Ezeket az adatokat felhasználva készítettünk becslést a városokon belüli lakóhelyi etnikai elkülönülés mértékéről. Eredményeink szerint a lakóhelyi szegregáció viszonylag mérsékelt a vizsgált 100 városban: a szegregációs index átlagos értéke 0,17. Eloszlása ugyanakkor aszimmetrikus, a legtöbb városban 0,1 alatt marad az értéke, néhány városban azonban a 0,4- et is meghaladja.
Statisztikai elemzésünk azt mutatja, hogy az iskolai szegregáció mértékét alapvetően a tanulói mobilitás, a roma tanulók városi aránya és a helyi oktatáspolitika határozza meg. Ezek az összefüggések nemcsak kétváltozós elemzések során mutatkoznak erősnek, hanem a többi hatótényező kontrollváltózóként való szerepeltetése mellett is. Más szavakkal: a roma lakosok arányának és az oktatáspolitikai környezetnek a hatását kiszűrve, a középosztálybeli tanulók magasabb arányú mobilitása erősebb iskolai szegregációt eredményez. A középosztálybeli tanulók mobilitását és az oktatáspolitikai környezetet adottnak véve, a roma lakosok magasabb aránya erősebb iskolai szegregációval jár együtt. Végül, a mobilitás és a roma lakosok arányának adott szintje esetén, az iskolai szegregáció jellemzően magasabb azokban a városokban, ahol a helyi oktatáspolitika jellegzetesen szegregációs irányultságú. A tanulói mobilitással ellentétben a lakóhelyi elkülönülés mértéke nem befolyásolja az iskolai szegregációt.
1. Elméleti keretek
Ezek az eredmények arra utalnak, hogy a szabad iskolaválasztás rendszere Magyarországon erőteljesen hozzájárul az iskolák közötti egyenlőtlenség növekedéséhez. Ehhez elegendő önmagában az a tény, hogy a különböző hátterű tanulók különböző iskolákba jelentkeznek. Ha a magasabb státusú tanulók nagyobb valószínűséggel ingáznak lakóhelyüktől távolabbi iskolákba – pontosan ez a helyzet –, akkor a lakóhelyi szegregáció csak kevéssé fogja alakítani az iskolák közötti etnikai egyenlőtlenségeket. A lakóhelyi elkülönülés és a tanulók mobilitása jelentette korlátok mellett a helyi oktatáspolitika számára egyaránt nyitva áll az út az iskolai szegregáció erősítésére, de mérséklésére is.
Eredményeink összhangban vannak az iskolaválasztás modelljével, amely az iskolák érzékelt minőségének különbségeire, valamint a képességek és családi háttér szerinti szelekcióra épül. Elméleti szempontból az iskolaválasztás magyarországi rendszere igen hasonló egy univerzális utalványrendszerhez. Ezt úgy képzelhetjük el, mintha minden tanuló családja kapna egy utalványt, amelyet az ország bármely iskolájában beválthatna, hogy abból fedezze az iskolák által megállapított tandíjat. Iskolai utalványokat tipikusan azonban vegyes rendszerekben alkalmaznak, amelyekben egyaránt vannak tandíjmentes oktatást biztosító, állami fenntartású iskolák és a tandíjat kérő magániskolák. Az utalványok rendszerint a tandíj teljes összegét fedezik, így az univerzális utalványrendszer a magániskolákat de facto ingyenessé teszi. Egy ilyen rendszer működéséből levonható legfontosabb következtetések a magyarországi rendszerre is érvényesek, amelyet az állami iskolák dominálnak, és egyúttal biztosított a szabad iskolaválasztás joga.
Az utalványrendszer közgazdasági szakirodalma általános egyensúlyi keretben írja le az iskolaválasztási döntéseket és annak következményeit (Manski, 1992; Epple és Romano, 1998; Nechyba, 1999). Epple és Romano, 1998) modelljében magán- és állami iskolák versenyeznek a diákokért kétféle rezsim keretei között. Az egyik esetben az állam magániskolai szolgáltatásokra beváltható utalványokkal látja el a gyerekes családokat, a másik esetben nincsenek ilyen utalványok. Az iskolák minőségét a modell keretei között kizárólag a tanulók átlagos képességei határozzák meg. Mivel a jó képességű tanulók pozitív externális hatást jelentenek a többi tanuló számára, a magániskolák a fizetendő tandíj mértékét az egyéni jellemzők (képességek és jövedelem) alapján határozzák meg, szociális ösztöndíjat ajánlva az arra rászorulóknak. A modell fő elméleti következtetése szerint a legdrágább magániskolák a legjobb képességű és leggazdagabb tanulókat fogják magukhoz vonzani, majd az egyre csökkenő minőségű magániskolák a rosszabb képességű és/vagy szegényebb gyermeket fogják felvenni. Az állami iskolák ebben a modellben a legszegényebb és legrosszabb képességű gyerekek oktatását fogják biztosítani. Egy utalványrendszer bevezetésének eredményeképpen a magániskolák száma megnövekszik, és javul azoknak a tanulóknak a teljesítménye, akik az állami iskola helyett magániskolába iratkoznak be, igaz, néhányuk rosszabb helyzetbe is kerülhet (mivel az utalványrendszer rontja az alternatív lehetőség, az állami iskola minőségét). Azok a tanulók, akik az állami iskolákban maradnak, egyértelműen rosszabbul járnak, mivel iskolatársaik átlagos minősége csökken. Tekintve, hogy ebben a modellben az iskolák nem reagálnak pozitív módon a versenyre, ezért a jó képességű és magasabb társadalmi státusú tanulók „lefölözése” tisztán érvényesül.
Két természetes kísérlet is lehetőséget biztosított az elméleti következtetések empirikus ellenőrzésére: egy nagyszabású utalványrendszer kiépítése Chilében és a szabad iskolaválasztás rendszerének bevezetése Új-Zélandon. Hsieh és Urquiola 2006-os tanulmánya szerint a chilei reform legfőbb következménye egy széles körben megvalósuló lefölözési hatás volt. Azokon a településeken, ahol a magániskolák jelentősége nagymértékben megnövekedett, az állami iskolákba lényegesen alacsonyabb teszteredményű és társadalmi státusú diákok kerültek be. Hasonló következményekkel járt az Új-Zélandon bevezetett reform is. A családok egy része nagyobb valószínűséggel íratta át a gyermekeit magasabb társadalmi státusú iskolákba, és ennek eredményeképpen a kisebbségi tanulók egyre növekvő mértékben koncentrálódtak a rosszabb iskolákba (Fiske and Ladd, 2000; Ladd and Fiske, 2001).
Elemzésünk a magyarországi tapasztalatok értékelésével ehhez az irodalomhoz igyekszik hozzájárulni. Magyarországon a rendszerváltás óta működik a szabad iskolaválasztás rendszere, ami nagymértékben hozzájárulhatott az iskolák közötti etnikai szegregáció növekedéséhez. A felmérésünkben szereplő 100 város iskolai szegregációjának és a tanulók iskolakörzetek közötti szelektív ingázásának vizsgálatával a szabad iskolaválasztás iskolai szegregációt meghatározó szerepére utaló bizonyítékokat mutatunk be. Statisztikai elemzésünk azt támasztja alá, hogy a szabad iskolaválasztás igen hangsúlyos szerepet játszik a létrejövő iskolai szegregáció mértékében. A szabad iskolaválasztás hatása mögött meghúzódó mechanizmusokat egy egyszerű modell segítségével szemléltetjük.
Ebben a modellben kétféle döntéshozó van: egyrészt a családok, amelyek kiválasztják az iskolát, ahová gyermekeiket járatni szeretnék, másrészt az iskolák, amelyek a jelentkezők közül válogatnak. Az egyszerűség kedvéért feltesszük, hogy az iskolaválasztás teljesen szabad és ingyenes, nincsenek utazási költségek, és az iskolák felvételi döntéseit sem korlátozza semmi. Mindezeken túl azt is feltételezzük, hogy az iskolák minőségi szempontból különböznek egymástól, továbbá, hogy minőségük alapján egyértelmű sorrendbe állíthatók, és minden szereplő azonos sorrendet állít fel közöttük. Ez a sorrend megfelelhet az iskolák közötti valódi minőségkülönbségeknek, de az is lehet, hogy csak a szereplők közös várakozásait tükrözi. Amennyiben a családok által az iskolaválasztást megelőzően érzékelt iskolaminőséget a tanulók későbbi sikeressége megerősíti, modellünk következtetései ezen a közvetett módon lesznek érvényesek. Tegyük fel továbbá, hogy a tanulók is különböznek egymástól képességeik tekintetében. Az iskolák a felvételi döntés előtt különböző tesztek, informális felvételi beszélgetések alapján felmérik a jelentkezők képességeit. Az iskolák feltételezett minőségéhez hasonlóan a tanulók feltételezett képességei is megfelelhetnek a valódi képességeknek, de függetlenek is lehetnek azoktól. Mindössze azt követeljük meg, hogy a különböző iskolák azonos módon rangsorolják a tanulókat. A továbbiakban a képességeken a szereplők által feltételezett képességeket értjük, és ugyanígy az iskolák minőségén is a szereplők által feltételezett minőséget.
A tanulók iskolaválasztási döntéseinek és az iskolák felvételi döntéseinek eredményeképpen megy végbe a tanulókat és az iskolákat egymáshoz rendelő szelekció: a legjobb képességű tanulók a legjobb iskolákba, míg a legrosszabb képességű tanulók a legalacsonyabbra rangsorolt iskolákba kerülnek. A párosítási folyamat teljesen „színvak”: sem az iskolák, sem pedig a tanulók nem veszik figyelembe a gyermekek etnikai hovatartozását döntéseik meghozatalakor. Ennek ellenére, amennyiben a képesség és az etnikai hovatartozás nem korrelálatlan egymással, az iskolaválasztási és a felvételi döntések eredményeképpen az iskolák etnikai összetétele különböző lesz. Ez az egyszerű példa rámutat a magyar városok iskolai szegregációját alakító jellegzetes mechanizmusokra. Ha valósághűbb elemekkel ruháznánk fel a modellt, az elemzés bonyolultabbá válna, de az említett mechanizmusok továbbra is működnének, bár valamivel gyengébb hatást fejtenének ki.
Az 1. ábra egy egyszerű számpélda segítségével szemlélteti mindezt. Négy várost hasonlítunk össze: A és B város kicsi, mindössze két iskolával rendelkezik, míg C és D város nagy, tíz iskolája van. Az egyszerűség kedvéért feltesszük, hogy az iskolák mérete mindegyik városban azonos, minden egyes intézményben 100 tanulót oktatnak. A roma lakosok száma A és C városban alacsony (5 százalék), míg B és D városban magas (20 százalék). Az iskolák csupán minőségükben különböznek egymástól, a legjobbnak számító iskola I1, a következő I2, és így tovább. A nagyvárosokban tehát I10 a legrosszabbként számon tartott iskola. A rangsorolás homogén; minden döntéshozó ugyanúgy rangsorolja az iskolákat. Feltesszük azt is, hogy az iskolák szabadon válogathatnak a jelentkezők között. A tanulókat csupán a képességeik szerint rangsorolják, ugyanakkor a roma tanulók ennek a képesség szerinti rangsornak az alján helyezkednek el. Az iskolák és a tanulók rangsora mindenki számára ismert, nincs utazási költség, és az iskolák teljesen szabadon hozhatják meg a felvételi döntéseiket. Az egyensúly ebben az esetben egy képességek szerinti tökéletes elkülönülés formájában valósul meg.
1. ábra A képességalapú szelekció példája

A képességek szerinti tökéletes szelekció egyúttal azt is jelenti, hogy a roma tanulók a legrosszabb iskolákba kerülnek. Hogy pontosan hány iskola és milyen arányban fog roma gyermekeket tanítani, az attól függ, hogy az illető városban összesen hány iskola van, és mekkora a roma lakosok aránya. A kisvárosokban, ahol a roma tanulók száma alacsony, a roma tanulóknak még abban az esetben is lesznek nem roma iskolatársaik, ha minden egyes roma gyermek azonos iskolába kerül. Ezzel szemben a nagyvárosokban, ahol a romák száma jelentősebb (az etnikai összetételt adottnak véve, pusztán a nagyobb össznépesség miatt), ha minden roma tanuló azonos iskolába kerül, előfordulhat, hogy teljesen megtöltik az adott iskolát, és ennek eredményeképpen tökéletes szegregáció alakul ki.
Mindez azt jelenti, hogy A város I1 iskolájában a roma tanulók aránya 0 százalék, míg I2 iskolájában 10 százalék. C városban a legjobb kilenc iskolában (I1-től I9-ig) a roma tanulók aránya 0 százalék, míg a legrosszabb iskolában (I10) 50 százalék. B városban I1 iskolájában a romák aránya 0 százalék, míg I2 iskolában 40 százalék lesz. D városban a legjobb 8 iskolában (I1-től I8-ig) nem találunk roma tanulókat, míg a két legrosszabb iskolában (I9 és I10) a roma diákok aránya 100 százalék. Az 1. ábra összegzi ezeket az eredményeket.
Az eredmények azt is jelentik, hogy az iskolák etnikai összetételének egyenlőtlensége alapján a városok rangsorba állíthatók. Ez a rangsor egyértelmű az azonos méretű (iskolaszámú), de eltérő etnikai összetételű városok esetében. És ugyancsak egyértelmű az eltérő méretű, de azonos etnikai összetételű városok esetében.
A szegregációs index (lásd 3. fejezet) alapján felállított rangsor a következő lesz.4 A roma lakosok adott aránya mellett a városok méretének változása esetén:

Azonos méretű, de a roma lakosok aránya tekintetében különböző városok esetében:

A roma tanulók arányát adottnak véve, a nagyobb méretű városokat jelentősebb mértékű iskolai szegregáció jellemzi. Azonos méretű városok közül pedig ott, ahol a roma tanulók aránya magasabb, jelentősebb mértékű lesz az iskolai szegregáció. Ezeket a következtetéseket megerősíti a később bemutatott statisztikai elemzés.
A tanulmány felépítése a következő. Először ismertetjük adatainkat és az alkalmazott mérési eljárásokat. Ezt követően bemutatjuk a vizsgált 100 várost jellemző iskolai szegregáció mértékét és időbeli trendjét. A következő rész a lakóhelyi szegregáció jellemzőit tárgyalja. Ezután a statisztikai elemzésünk eredményeit ismertetjük, majd az utolsó részben megfogalmazzuk a következtetéseinket. A tanulmányhoz öt függelék tartozik (A-tól E-ig), amely részletesebb információkat nyújt a minta összetételéről, az eredmények robusztusságáról, az oktatáspolitikai instrumentumok tartalmáról, az oktatáspolitikai attitűdök méréséről és a helyi oktatáspolitikát feltérképező kérdőívről. A minta összetételét ismertető A függelék része a nyomtatott szövegnek, a B-E függelékek5 online módon érhetők el.
2. Adatok és módszerek
2.1 A 100 városból álló minta
A mintát Budapest kivételével az a 100 magyarországi város alkotja, ahol a roma lakosok aránya a legnagyobb az országban. Budapestet mérete és decentralizált kerületi struktúrája miatt zártuk ki az elemzésből. A mintavétel során a városok általános iskolai tanulói létszámát, az általános iskolák számát és a roma tanulók általános iskolai arányát vettük figyelembe. A fenti információk az Országos Kompetenciamérés (OKM) telephelyi kérdőívéből álltak rendelkezésünkre. A 2.2 alfejezetben további információk találhatók az iskolákról.
Magyarországon több mint 200 város található, a községek száma pedig meghaladja a 2500-at. Számos város azonban méretét tekintve kicsinek számít (20 városnak mindössze egy alapfokú iskolája van, míg további 46-nak kettő). Azok a városok kerülhettek bele a mintába, amelyekben a tanulók száma eléri az 1000 főt, legalább két iskolája van, és a roma tanulók becsült aránya meghaladja a 3 százalékot (a roma tanulók átlagos, 12 százalékos arányának negyedeként határoztuk meg ezt a 3 százalékos küszöbértéket). A részvétel-elutasításból adódó pótminta-választás és az adatkorrekciók miatt az elemzéshez felhasznált végső mintában szereplő néhány város nem felelt meg mindenben az előzetesen támasztott feltételeknek.
Az 1. táblázat mutatja be a minta néhány jellemzőjét. A mintában szereplő városok iskoláinak mediánja 7, az átlaga pedig 10. A tanulói létszám mediánja 1900, átlaga 3000. A medián városban a roma tanulók aránya 10 százalék, az átlagos érték 13 százalék, míg a maximum 50 százalék. Meg kell jegyezni, hogy a mintában szereplő egyik városban mindössze egy iskola található. Ez a város a leíró jellegű elemzésben részét képezi a mintának, ugyanakkor az iskolai szegregációval foglalkozó elemzésekből értelemszerűen kizártuk, így ezekben az esetekben a minta elemszáma 99. Az A függelék tartalmazza a mintában szereplő városok főbb jellemzőit: a tanulók számát, a roma tanulók becsült arányát, a városi szavazókörök számát.
1. táblázat A minta leíró statisztikái (2006)

2.2 Az iskolai szegregáció mérése
Egy adott város iskolai szegregációjának méréséhez a város minden egyes iskolájának tanulói létszámát és a roma tanulók arányát használjuk. Az adatok az Országos Kompetenciamérés (OKM) 2006 és 2010 közötti kérdőíveiből származnak. Az OKM egy standardizált felmérés, amely az általános iskolák 4., 6. és 8. évfolyamos tanulóinak (valamint a középiskolák 10. évfolyamos tanulóinak) olvasási-szövegértési és matematikatudását méri fel. Az OKM 2006-ban vált standardizálttá, és terjedt ki az érintett évfolyamok egészére. Elemzésünkhöz a 2006 és 2010 közötti felméréseket használjuk.
A tanulók képességeinek értékelése mellett az OKM egy sor tanulói és iskolai szintű információt is gyűjt. Az iskolai kérdőíveket az intézményvezetők – az iskolaigazgatók – töltik ki. A tanulói tesztek kitöltése minden év májusában történik, és az iskolákra vonatkozó adatokat is azonos időszakban gyűjtik be. Az iskolai kérdőívek, többek közt, adatot szolgáltatnak a tanulók számáról és a roma tanulók arányáról (ez utóbbi információk az iskolaigazgatók iskolai telephelyszintű becslései). Az esetleges adathiányokat a közeli évek adataival pótoltuk. Az adatok telephelyi szinten állnak rendelkezésre. Elkülönült telephelynek számít minden olyan iskolai tanítási egység, amely az iskola többi telephelyétől különböző postacím alatt található. Az iskola és a telephely megkülönböztetése azért fontos, mert néhány városban az oktatási intézmények több, számos esetben egymástól igen távol eső telephelyből állnak, amelyek az iskolai szegregáció szempontjából de facto külön iskoláknak tekinthetők. A továbbiakban az iskola megnevezést az elkülönült telephelyekre, az intézmény megnevezést pedig arra az adminisztratív szervezetre használjuk, amely egynél több telephelyet is magában foglalhat.
Az iskolai szegregáció méréséhez minden olyan magyar iskola adatát felhasználjuk, ahol általános iskolás (1–8. évfolyamokra járó) tanulókat oktatnak. Ezek közül az iskolák közül az OKM-ben minden olyan iskola részt vett 2006-ban és 2007-ben, amelybe 4. és 8. évfolyamos tanulók jártak, míg 2008-ban, 2009-ben és 2010-ben azokban az iskolákban volt felmérés, amelyek 6. és 8. évfolyamos tanulókat oktattak. Az OKM adatfelvétele ugyanakkor nem teljes körű, mivel 2007 után azok az intézmények nem vettek részt benne, amelyek elsődlegesen sajátos nevelési igényű (sni) tanulókat oktattak. Az OKM tanulói tesztjeit nem töltik ki a sajátos nevelési igényű diákok. Az egyetlen kivétel ezalól a 2006-os év volt. Az sni tanulók oktatására szakosodott intézmények a 2006-os és a 2007-es OKM adatfelvételben szerepeltek, ugyanakkor 2008-tól kezdve kimaradtak a felmérésből, így semmilyen információ nem áll rendelkezésre róluk. A becslési hibák további forrását jelenti az, hogy néhány iskolában az iskolaigazgató nem szolgáltatott adatot a roma tanulók arányáról. Az ebből adódó válaszmegtagadás az adathiányok másik fő oka.
Az adathiányok hatása a szegregációs indexekre jelentős lehet. Képzeljük el például azt, hogy egyetlen roma tanuló sem jár abba az iskolába, amelynek igazgatója nem töltötte ki a telephelyi kérdőívet. Ebben az esetben a csoportközi kontaktusok valószínűségét mérő kitettségi (exposure) mutatónk értékét felülbecsüljük, és ennek következtében a szegregáció mértékét kifejező szegregációs indexet alulbecsüljük az adott városban, mivel a becslésből kihagyott iskolában a roma és nem roma tanulók találkozásának esélye a városi átlagnál biztosan kisebb.6 Elméletileg elképzelhető az is, hogy az adathiányos iskola etnikai összetétele a városi átlaghoz nagyon közeli, ami azt eredményezi, hogy a szegregációs mérőszámunk felfelé torzított lesz.
A 2. táblázat mutatja az adathiányok mértékét. Az intézmények számáról egyrészt az adminisztratív nyilvántartás (a KIRSTAT), másrészt az országos kompetenciamérés (OKM) alapján alkothatunk képet. Az OKM felmérésben szereplő iskolák telephelyek szerint is megbonthatók. A táblázat harmadik oszlopa a telephelyek számáról, negyedik oszlopa pedig a roma tanulók arányáról adatot szolgáltató telephelyek számáról ad tájékoztatást.
2. táblázat Általános iskolásokat (1–8. évfolyamos tanulókat) oktató intézmények és iskolai telephelyek száma a vizsgált 100 város mintájában

Megjegyzés: Az iskolákat postacímük alapján azonosítottuk; az intézmények egynél több iskolából is állhatnak. Általános iskolának azokat az iskolákat tekintettük, amelyek 1. és 8. évfolyam közötti tanulókat oktatnak. KIRSTAT: az oktatási intézmények adminisztratív nyilvántartása. OKM (országos kompetenciamérés): az olvasás-szövegértés és a matematikai képességek országos standardizált felmérése a 4., 6. és 8. évfolyamon. A sajátos nevelési igényű diákok a 2006. év kivételével nem vesznek részt a felmérésben. Az OKM iskolaszintű adatai minden olyan iskolát lefednek, amelyben legalább egy tanuló kitöltötte a teszteket.
Az iskolai szegregációra vonatkozó becslésünket két probléma befolyásolhatja: (i) az OKM adatbázisból hiányzó intézmény (és az ebből adódó információhiány a roma tanulók számáról), illetve (ii) az OKM adatbázisban szereplő néhány intézmény hiányos adatszolgáltatása a telephelyek etnikai összetételéről. Az első problémát úgy kezeltük, hogy a hiányzó intézményeket egyiskolás intézménynek tekintettük, és a tanulók számát a KIRSTAT megfelelő adatával helyettesítettük. A roma tanulók hiányzó létszámát három alternatív eljárás alkalmazásával pótoltuk. A hiányzó adat pótlását elsődlegesen a legjobbnak tartott becslésünkkel végeztük el (alapeljárásnak ezt tekintettük). Alapeljárásunkat két adatpótlási eljárással egészítettük ki: egy olyan eljárással, amely a szegregációs index lehető legnagyobb értékét becsülte meg.7 Minden további elemzésünk eredményét ellenőriztük a hiányzó adatok pótlásának három eljárásával kapott adatokkal. Ezeket a vizsgálatokat az online módon elérhető B függelék8 foglalja össze.
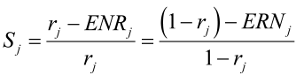
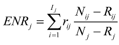
A szakirodalmat (például Clotfelter, 2004) követve, a szegregáció mértékét három indexszel mérjük: a nem roma tanulók roma tanulókkal való találkozási esélyét mérő kitettségi indexszel (EN R); a roma tanulók nem roma tanulókkal való találkozási esélyét mérő kitettségi indexszel (ERN); továbbá ezen indexek standardizált verziójával, amelyre szegregációs indexként utalunk a továbbiakban. A kitettségi és szegregációs indexek számításakor kizárólag a városban található iskolákat vettük számításba. Az indexek definiálásához és értelmezéséhez a következő jelöléseket vezetjük be:


amelyből következően:

A kitettségi index minimális értéke 0. Ebben az esetben a roma és nem roma tanulók közti kapcsolatok teljesen hiányoznak, mivel az iskolákba kizárólag nem roma (azaz rij=0) vagy roma (azaz Nij–Rij=0) tanulók járnak. A kitettségi index akkor éri el a maximumértékét, ha a település minden egyes iskolájában a település egészére jellemző roma tanulói arány valósul meg, azaz a j-edik település minden iskolájában rij=rj. Értelemszerűen ki kell kötni azt is, hogy 0 <rj< 1, vagyis hogy a j-edik településen egyaránt vannak roma és nem roma tanulók. Ez a feltétel a vizsgált városok mindegyikében teljesül.
A roma tanulók nem roma tanulóknak való kitettségi indexe (ERNj) analóg módon azt mutatja meg, hogy a j-edik település egy átlagos (véletlenszerűen kiválasztott) roma tanulója milyen eséllyel kerül kapcsolatba nem roma tanulókkal. Az ERNj nem más, mint a nem roma tanulók iskolánkénti arányainak súlyozott átlaga, ahol a súlyokat az iskolák roma tanulóinak részaránya adja a település összes roma tanulójának számához viszonyítva.
Képletben kifejezve:

amelyből következően:

Ennek a kitettségi indexnek is 0 a minimális értéke, továbbá az ERNj értéke is pontosan akkor lesz 0, ha EN Rj=0. Ez az érték arra utal, hogy a település iskoláiban nincs lehetőség a roma és nem roma tanulók közti kapcsolatokra, mivel az iskolákba kizárólag roma (1–rij=0) vagy nem roma (Rij=0) tanulók járnak. A roma tanulók kitettségi indexe akkor veszi föl a maximumértékét, ha a nem roma tanulók aránya a település minden egyes iskolájában a település egészére jellemző aránynak megfelelő, azaz a j-edik település minden iskolájában 1–rij=1–rj. A kétféle kitettségi mutató közvetlenül levezethető egymásból:

A kitettségi indexeket intuitív tartalmuk ellenére ritkán használják. Ennek az az oka, hogy értéke a kisebbséghez tartozó tanulóknak az adott településre jellemző részarányától is függ, emiatt településközi összehasonlításra csak korlátozottan alkalmas. Ezt a problémát igyekszik kezelni a szegregációs index. A szegregációs index a kitettségi indexek normalizált változata, és azt mutatja meg, hogy a lehetséges kontaktusok hány százaléka hiúsul meg a szegregáció következtében. A normalizálás során a kitettségi indexe- ket az elméleti maximumokhoz viszonyítjuk. Ennek során az index előjele is megváltozik, azaz az index magasabb értéke jelentősebb mértékű szegregációt (kisebb kitettséget) jelez. A szegregációs index, képletben kifejezve, a következő:

amelyből következően:

Az index maximumértéke 1; tehát a szegregáció akkor maximális, amikor a kitettség 0. A minimumértéke 0, amit maximális kitettség mellett vesz fel, amikor a roma tanulók aránya azonos a település összes iskolájában.
A nagyságrendek érzékeltetése érdekében bemutatunk néhány egyesült államokbeli adatot. Az amerikai nagyvárosi övezetek közül San Diego (0,28), Phoenix (0,31) vagy Los Angeles (0,33) jellemezhető a nagyobb magyar városokban tapasztalható (lásd később) iskolák közötti szegregációs indexekkel. Ezek az indexértékek az Egyesült Államok nagyvárosaiban semmiképpen sem tartoznak a legmagasabb értékek közé. New York városának iskolai szegregációs indexe 0,45, Chicagóé 0,57, az ország legerőteljesebben szegregált iskolarendszerét működtető Detroité pedig 0,71 (lásd Clotfelter, 1999, 494. o.).
2.3 A lakóhelyi szegregáció mérése
A lakóhelyi szegregáció a városokon belüli kisebb területek (lakókörzetek) etnikai összetételének különbözőségét jelenti. A számszerűsítéséhez használt mérőeszközök hasonlóak az iskolai szegregáció mérésénél bemutatott indexekhez. Mindössze az iskolák tanulóinak számát és az iskolákba járó roma tanulók arányát kell a lakókörzetek lakosainak számára és a lakókörzetben élő roma lakosok arányára cserélni. Az iskolák etnikai összetételével ellentétben a lakókörzetek etnikai összetételére vonatkozóan nem állnak rendelkezésre széles körre kiterjedő adatok.9
Az elemzésünkben szereplő 100 város lakókörzeteinek etnikai összetételéről helyi szakemberek megkérdezésével gyűjtöttünk adatokat, akik kisebb körzetekre (szavazókörök) vonatkozóan becsülték meg a roma lakosok számát. Minden városban négy szakembert kértünk meg arra, hogy a város szavazóköröket jelölő térképének segítségével adjon becslést a roma lakosok számáról. A 3. táblázat mutatja be, hogy milyen szakembereket kértünk föl, és milyen jellegű információkat kértünk tőlük.
3. táblázat A lakóhelyi romanépesség-adatok forrásai, a mérési egységek és a teljes roma népességre való átszámítás módja

Megjegyzés: A 2003. évi romafelmérés adatainak forrása: Kemény, Janky és Lengyel, 2004
Sajnálatos módon a 100-ból csak 38 városban kaptunk mind a négy forrásból adatot. Az adathiányokat és a vizsgált városokban élő roma népesség becsült arányait a 4. táblázat mutatja be. Három szakértő becslése állt rendelkezésre 30 városban, 25 városban két információforrásra támaszkodhattunk, míg 6 városban mindössze egy forrásból sikerült adatokat gyűjtenünk. Azokban az esetekben, amikor mind a négy forrásból rendelkezésre állt a szükséges információ, a roma lakosok arányára vonatkozó négyféle becslés igen hasonló volt (lásd a táblázat utolsó oszlopait). Ez megerősí- ti mind az egyedi források megbízhatóságát, mind annak a módszertannak a használhatóságát, amelyet a szakértők becsléseinek populációs értékekre történő átszámításakor használtunk. Amennyiben minden rendelkezésre álló információt figyelembe veszünk, a helyi roma szervezetek és az oktatási irodák vezetőinek becslései alapján szignifikánsan magasabb értékeket kapunk. A fenti eredményekkel együtt ez azt jelenti, hogy a roma lakosok arányára kapott becslés az átlagosnál magasabb azokban a városokban, ahol a másik két információforrás (vezető védőnő és családsegítő) becslései hiányoznak.
4. táblázat A roma lakosok becsült aránya a vizsgált 100 városban a négy információforrás alapján

A roma népesség arányának különböző forrásokból származó becslései közti korrelációk közepes erősségűek, 0,48 és 0,84 között változnak, amint azt az 5. táblázat is mutatja. Ez azt jelzi, hogy érdemes a négy becslést kombinálni.
5. táblázat A szavazókörök négyféle információforrás alapján becsült romaarányai közti kétváltozós korrelációs együtthatók

A becslések által nyújtott információtartalom maximalizálása és a véletlen hiba minimalizálásának érdekében minden egyes szavazókör esetében a rendelkezésre álló információforrásokból származó becslések átlagos értékeit használtuk. Az eljárás ellenőrzésének érdekében ezeket az értékeket a 2001-es népszámlálás megfelelő adataival is összehasonlítottuk. A 2001-es népszámlálásból számlálókörzetekre vonatkozóan rendelkezésünkre álltak a romanépesség-adatok, amelyek azonban rendkívül pontatlanok és erősen lefelé torzítottak. A népszámlálásnak a romák arányára vonatkozó 2 százalék alatti becslése jelentősen elmarad a megbízhatóbb forrásokból származó, 6 százalék körüli becsléstől (Kemény, Janky és Lengyel, 2004). Mivel a népszámlálás számlálókörzetei a szavazóköröknél kisebb területi egységek, ezért a számlálókörzetek adatait aggregáltuk.10 Azzal a feltevéssel összhangban, hogy a népszámlálás romaadatai alsó becslések, ezeket a becsléseket arra használtuk, hogy azonosítsuk azokat a szavazóköröket, ahol a roma népességre vonatkozó, általunk gyűjtött adatok túl alacsonyak voltak, s még a népszámlálás megfelelő értékeitől is elmaradnak. Ezekben az esetekben a saját becsléseinket a népszámlálás becsléseivel helyettesítettük.
2.4 A helyi oktatáspolitika integrációs/szegregációs irányultságának mérése
Az oktatáspolitikára vonatkozó információk minden egyes város esetében a helyi önkormányzat oktatási vezetőjétől származtak. Egy interjú során az érintett vezető a helyi iskolákra vonatkozóan iskolaszintű adatokat szolgáltatott, illetve válaszolt egy kérdőívre is, amely az elmúlt 5 év helyi oktatáspolitikai intézkedéseire, gyakorlatára és eseményeire kérdezett rá. Az interjúval egyidőben az önkormányzattól begyűjtöttük a helyi iskolapolitikával kapcsolatos összes releváns dokumentum fénymásolatait is, amelyekkel a szóbeli információkat ellenőrizni tudtuk.
A kérdőívvel a helyi oktatáspolitika eszköztárát próbáltuk egyedi oktatáspolitikai eszközökre – az általunk választott terminológia szerint: „instrumentumokra” – bontani, és a helyi iskolapolitika irányultságát ezekkel az instrumentumokkal mérhetővé tenni. Az iskolapolitikai döntések mellett a helyi oktatáspolitika esélyegyenlőséggel kapcsolatos általános szemléletmódját is megpróbáltuk mérhetővé tenni (részletesen lásd a fejezet későbbi részében).
Az oktatáspolitikai intézkedéseket mérő változók részletes bemutatását az online módon elérhető C függelék11 tartalmazza. Ebben a függelékben döntési folyamatábrákat mutatunk be, amelyeknek a segítségével a kérdőívből származó információkat az instrumentumokat jelképező változók számszerű értékeivé kódoltuk át. A teljes kérdőív az online módon elérhető E függelékben12 olvasható. Az oktatáspolitikai instrumentumok olyan intézkedések, amelyeknek alkalmazására lehetősége volt a helyi oktatáspolitikának, és amely intézkedéseknek közvetlen hatása lehetett a város iskoláinak etnikai összetételére. A statisztikai elemzés megkönnyítésének érdekében minden egyes instrumentumot (P0–P10) egy háromértékű (v = –1, 0, 1) változóra képeztünk le. Ezek az értékek azt jelzik, hogy az adott instrumentumot alkalmazták-e, és ha igen, akkor ezt az iskolai szegregáció növelésének vagy csökkentésének szándékával tették-e. A változó 0 értéket kapott akkor, ha az adott instrumentumot nem alkalmazták, vagy az oktatáspolitika az alkalmazása során nem avatkozott be a városban zajló spontán folyamatokba. Más szóval, abban az esetben adtunk 0 értéket egy instrumentumra, ha a helyi oktatáspolitika sem az iskolai szegregáció mértékének növelésére, sem a csökkentésére nem használta aktívan az adott eszközt. 1-es értéket akkor kapott egy intézkedés vagy esemény, ha az adott instrumentumot olyan módon alkalmazták, amely elméletileg növelhette az iskolák közötti szegregációt. Analóg módon, egy instrumentum értéke akkor lett –1, ha az adott intézkedést olyan módon alkalmazták, amely elméletileg csökkenthette az iskolák közötti szegregációt. Hangsúlyozzuk: nem a tényleges hatás döntötte el, hogy egy-egy oktatáspolitikai instrumentum konkrét alkalmazását –1, 0, vagy 1 kóddal értékeltük. Ezeket az értékeket – a tényleges hatásokra való tekintet nélkül – a priori módon határoztuk meg, pusztán azt mérlegelve, hogy az intézkedés által előidézett mechanizmus (vagy az intézkedés megvalósításának módja) növelhette vagy csökkenthette-e az iskolák közötti szegregációt a magyar oktatási rendszer intézményi környezetében. Néhány instrumentummal olyan eseteket vettünk célba, amikor az önkormányzatok elmulasztanak bizonyos, esélyegyenlőséget elősegítő intézkedéseket megtenni, jóllehet ezeknek az alkalmazását jogszabályok írják elő a számukra. Ezeket az eseteket a szegregáció irányába tett lépésekként vettük számításba. Ha egy intézkedéstípust a vizsgált ötéves periódus alatt az adott városban többször is alkalmaztak, minden egyes esetet külön kódoltunk, és az értékelések átlagát vettük figyelembe. A 6. táblázat áttekintést ad az oktatáspolitikai instrumentumokról.
6. táblázat A helyi oktatáspolitika instrumentumai a vizsgált 100 városban

Megjegyzés: Az instrumentumok értékeinek jelentése: v = 0 nem aktív használat (vagy az adott instrumentumot nem alkalmazták); v =1 szegregációs attitűd/szándék; v = –1 integrációs attitűd/szándék
A tízből négy instrumentum esetében nem mutatkozik átlagosan sem szegregációs, sem integrációs irányultság, másik négy esetben enyhén szegregációs, míg két esetben erős szegregációs irányultságú alkalmazás figyelhető meg. Az utóbbiakkal kezdve: a legtöbb önkormányzat elmulasztja az alacsony romaarányú iskolákban (legyenek azok önkormányzati vagy nem önkormányzati fenntartásúak) a nagyobb roma reprezentáció biztosítását. Elég sok önkormányzat eltűri a magasabb státusú („elit”) iskolák szegregációs jellegű felvételi gyakorlatának működését, továbbá számos város nem tesz semmit a szegregált roma iskolák felszámolásának érdekében. Néhány önkormányzat esetében megfigyelhető az iskola-összevonások és a körzethatár- módosítások alkalmazása az iskolák közötti etnikai egyenlőtlenség növelésének céljából.
Elméletileg ezek az oktatáspolitikai instrumentumok lehetnek egymás helyettesítői, kiegészítői, de függetlenek is lehetnek egymástól. Helyettesítők abban az esetben, amikor az önkormányzat az egyik instrumentum helyett egy másikat alkalmaz céljai elérésének érdekében. Az instrumentumok egymás kiegészítői, amennyiben az egyik felerősíti a másik hatását, így együttes használatuk erősebb eredményre vezet az egyedi alkalmazásuk hatásainak egyszerű összegénél. Az instrumentumok használatában nem mutatkozik olyan egyértelmű mintázat, amellyel leírható lenne kapcsolataiknak a jellege. Amint azt a 7. táblázat mutatja, az oktatáspolitikai intézkedések közti korrelációs kapcsolatok rendkívül gyengék. A 44 korrelációs együttható közül csak 2 szignifikáns statisztikai értelemben, és még azok is gyenge összefüggésekre utalnak. Ráadásul nem látunk egyetlen szignifikánsan negatív korrelációs együtthatót sem, amely azt jelentené, hogy egy adott intézkedés esetén egy másikat szisztematikusan kerülnek. A korrelációk hiánya, különösen a negatív kapcsolatoké, azt jelzi, hogy egy nagyon egyszerű aggregációs eljárást érdemes alkalmazni. Egyszerűen a 10 instrumentum átlagos értékéből képezünk egy egydimenziós oktatáspolitikai indexet.
7. táblázat A helyi oktatáspolitikai instrumentumok korrelációs mátrixa

* 5 százalékos szinten szignifikáns. ** 1 százalékos szinten szignifikáns.
Az oktatáspolitikai instrumentumok mellett olyan adminisztratív döntésekről is gyűjtöttünk információkat, amelyeknek ugyan nincs közvetlen hatásuk az iskolák etnikai összetételére, azonban felfedik a döntéshozóknak az oktatási esélyegyenlőséggel kapcsolatos általános hozzáállását. A 8. táblázat ad áttekintést az attitűdöket mérő instrumentumokról, és leíró statisztikáikat is bemutatja. Részletes ismertetésüket az online módon elérhető D függelékben13 közöljük.
Az ötből három mérőeszköz az esélyegyenlőségi szempontok elhanyagolását jelzi a vizsgált városokban, míg két mérőeszköz átlagos értéke semleges attitűdökre utal. A vizsgált 100 város önkormányzata közül néhányra jellemző, hogy nem tesznek intézkedéseket a magántanulóvá nyilvánítások csökkentésének érdekében, illetve az óvodai férőhelyek hiánya esetén a szegényebb gyerekek hozzáférését nem biztosítják kellőképpen. Erősebb tendenciaként figyelhető meg, hogy az önkormányzatok nem lépnek fel a halmozottan hátrányos helyzetű státusra jogosult tanulók hivatalos regisztrálásának ösztönzése érdekében. A másik két intézkedés esetén nem figyel- hető meg általános irányultság. Ezek a sajátos nevelési igényűvé (enyhe értelmi fogyatékossá) válást megelőző programok, illetve a roma gyermekek óvodáztatásának ösztönzése.
8. táblázat A helyi oktatáspolitikának az esélyegyenlőséggel kapcsolatos általános attitűdjét mérő instrumentumok

Megjegyzés: Az instrumentumok értékeinek jelentése: v = 0 semleges pozíció esetén; v =1 az esélyegyenlőség elhanyagolásának esetén; v = –1 az esélyegyenlőség növelésének esetén.
3. Az iskolai szegregáció mértéke és időbeli trendje
Az általános iskolák etnikai összetételét és az iskolák közötti szegregáció mértékét az országos kompetenciamérés (OKM) 2006 és 2010 közötti adatait felhasználva mérjük. Az általános iskolák közé azokat az iskolákat számítjuk, ahova 1–8. évfolyamos tanulók járnak. Adatainkat részletesebben a 2.1 alfejezetben mutattuk be. A 9. táblázat tartalmazza az általános iskolák etnikai összetételét és az etnikai szegregáció mérőszámait a vizsgált 100 városban. A táblázatban közölt átlagértékek a városok tanulólétszámával súlyozott átlagok.
A roma tanulók aránya a 100 városban átlagosan 10 százalék, és ez az arány nem változott a vizsgált öt év során. A nem roma tanulók roma tanulóknak való kitettségi indexe átlagosan 8 százalék volt ebben az időszakban. A roma tanulók nem roma tanulóknak való kitettségi indexe a 2006-os 69 százalékról 2010-re 76 százalékra emelkedett. A kitettség tényleges értéke és elméleti maximuma közti különbséget mérő szegregációs index 0,23- ról 0,16-ra csökkent. Ez a csökkenés gyakorlatilag teljes mértékben 2006 és 2008 között ment végbe. Jegyezzük meg azonban, hogy ez az eredmény – amint azt a 2.2 alfejezetben tárgyaltuk – csak a hiányzó adatok pótlásának legjobb eljárásával áll elő. Az alternatív adatpótlási módszerekkel kapott eredmények és a belőlük levonható következtetések lényegesen eltérőek lehetnek (amint azt hamarosan látni fogjuk). Először azonban a legjobbnak tartott alapeljárásunkkal készített becsléseket mutatjuk be (lásd 9. táblázat).
9. táblázat Az általános iskolák etnikai összetétele és etnikai szegregációja a vizsgált 100 városban 2006 és 2010 között

Megjegyzés: Az átlagértékeket az hiányzó adatok pótlásának alapeljárását használva számítottuk ki, és a városok tanulólétszámával súlyoztuk.
A 2. ábra a megfigyelt változásokat tágabb időbeli kontextusba helyezi, továbbá a 2006 és 2010 közötti időszak hiányzó adatai alternatív pótlási eljárásainak segítségével a becslések bizonytalansági határait is bemutatja. Az ábra a vizsgált 100 város átlagos szegregációs indexének változását tükrözi az 1980 és 2010 között eltelt harminc évben. Az 1980-as és 1990- es évek indexeinek számításához adminisztratív adatbázisokat használtunk (a KIRSTAT elődeit), amelyek az 1980., 1989. és 1992. évekre tartalmaztak információkat az iskolák roma tanulóinak számáról.14 2006-tól kezdve a szegregációs index értéke az adatpótlás alapeljárásának használatával készült. Az ábra szürke sávja az index becsült minimumát és maximumát jelzi. A szegregációs index értéke ezen a sávon belül bárhol lehet, ugyanakkor a legjobbnak tartott becslésünket a folytonos fekete vonal képviseli.
2. ábra Az általános iskolák etnikai szegregációjának becsült időbeli trendje

(A vizsgált 100 város átlagos indexe 1980 és 2010 között) Fekete vonal: az adatpótlások alapeljárásával becsült trend. Szürke sáv: az elméleti maximum és minimum az alternatív adatpótlási eljárásokat használva.
A vizsgált 100 városban az általános iskolák etnikai szegregációja számottevően növekedett 1992 és 2006 között. Ennek a növekedésnek a mértéke igen jelentős, és nem befolyásolja érdemben a hiányzó adatok pótlására választott eljárás sem. Amint azt már korábban is bemutattuk, a legjobbnak tartott becslésünk szerint az iskolák közötti szegregáció 2006 és 2008 között érdemben csökkent a 100 városban. Ez a csökkenő trend meredekebb, mint az azt megelőző időszak növekvő trendje, de a csökkenés mértéke az idő rövidsége miatt mérsékelt maradt. Ugyanakkor a korábbi növekedéssel ellentétben a becsült csökkenés egyáltalán nem független a választott adatpótlási eljárástól. Amint azt a 9. táblázatban bemutattuk, a legjobbnak tartott becslésünk az iskolák közötti szegregáció enyhe csökkenését jelzi 2006 és 2008 között, amit 2008 után stagnálás követ. Ez a trend azonban nem robusztus a választott adatpótlási eljárásra. A 2. ábra szürke sávja szerint míg a szegregációs index 2006-os mértékére adott legjobb becslésünk 0,23, addig a tényleges érték 0,20 és 0,43 között bárhol lehetett. 2008-ra a legjobb becslésünk szerint 0,16 az index értéke, de a tényleges érték 0,14 és 0,41 között bárhol lehet. Ez a tág intervallum mindenféle előjelű és mértékű változást lehetségessé tesz 2006 és 2008 között. Az OKM adatbázis hiányzó adatai így nem teszik lehetővé azt, hogy a 2006 utáni trendet megbízhatóan azonosítsuk.15
A bemutatott átlagok nagymértékű különbségeket takarnak. 2010-ben a roma tanulók aránya a 100 városban 2 és 63 százalék között változott. 2006 és 2010 között azonban nemcsak az átlag, de az eloszlás is stabil maradt (lásd a 3. ábra hisztogramjait). Ez nem meglepő, mivel öt év túlságosan rövid idő ahhoz, hogy a roma tanulók aránya számottevően megváltozhasson.
3. ábra A roma tanulók arányának eloszlása a vizsgált 100 magyarországi városban, 2006 és 2010

A szegregációs index tekintetében még nagyobb különbségek mutatkoznak. 2010-ben 0 és 0,72 között szóródott az index értéke (az adatpótlás alapeljárását használva). A roma tanulók arányától eltérően a szegregációs index szóródása 2006 és 2010 között érdemben módosult (a hisztogramokat a 4. ábra mutatja). A 10 százalék alatti indexértékkel rendelkező városok aránya 26 százalékról 40 százalékra emelkedett, míg a 10 és 20 százalék közötti indexértékkel rendelkező városok aránya 40 százalékról 20 százalékra csökkent. Hasonló változások figyelhetők meg az eloszlás jobbszélén is: az eloszlás jellemzően kissé balra mozdult el (az egyetlen, 2010-es kiugró értéket leszámítva). Az átlag változásához hasonlóan az eloszlás alakjának módosulásáról levonható következtetések sem függetlenek attól, hogy a hiányzó adatok pótlása milyen technikával történik. Ugyanakkor ezek a változások arra utalnak, hogy az iskolák közötti szegregáció szignifikánsan csökkenhetett néhány városban.
4. ábra A szegregációs index eloszlása a vizsgált 100 magyarországi városban, 2006 és 2010 (a hiányzó adatok pótlásának alapeljárásával)

4. Lakóhelyi szegregáció és tanulói mobilitás
Szabad iskolaválasztás nélkül a lakóhelyi szegregáció és az iskolakörzetek határai egyértelműen meghatároznák az iskolai szegregáció mértékét. A szabad iskolaválasztás lehetősége ugyanakkor jelentős mértékben befolyásolhatja ezt a helyzetet. Elméletileg az iskolaválasztás szabadsága eredményezhet alacsonyabb mértékű szegregációt is, amennyiben a kisebbségi tanulók a többségi tanulók által dominált körzetek iskoláiba tudnak bejár- ni. Az ösztönzők és az információs struktúrák hatása ezzel éppen ellentétes irányú a magyar iskolarendszerben. Az iskolakörzetek közötti ingázás inkább a többségi tanulókra jellemző, s ennek eredményeképpen a hátrányos helyzetű tanulók még annál is jelentősebb mértékben fognak bizonyos iskolákba koncentrálódni, mint azt a lakóhelyi szegregáció és az iskolakörzetek határai alapján várhatnánk. A roma tanulók iskolai arányának lehetnek olyan küszöbértékei, amelyek fölött az adott iskolából a többségi tanulók oly mértékű elvándorlása kezdődhet meg, hogy az gyorsan növekvő romaarányú iskolát eredményezhet.
A népszámlálási körzetek becsült romaarányait (lásd az adatokról szóló fejezetet) és a teljes népesség létszámát használva létrehoztuk a lakóhelyi szegregációs indexet, amelyet – mutatis mutandis – az iskolai szegregációs indexszel azonos módon definiáltunk. Az 5. ábra mutatja a lakóhelyi szegregációs index (amelyet a továbbiakban L jelöl) hisztogramját a vizsgált 100 városban. Az index átlagos értéke 0,17, szórása pedig 0,16 (a népességszámmal súlyozott értékek ettől nem különböznek). A lakóhelyi szegregációs index legkisebb megfigyelt értéke 0, míg a legmagasabb értéke 0,63, a medián 0,11.
5. ábra A lakóhelyi szegregációs index megoszlása a vizsgált 100 városban

A 6. ábra mutatja a lakóhelyi szegregációs index kapcsolatát a város teljes népességével (logaritmikus formában mérve), illetve a roma tanulók városi arányával. Amint az ábra bal oldali paneljén láthatjuk, a lakóhelyi szegregáció és a város mérete közti kapcsolat enyhén negatív, továbbá a lakóhelyi szegregáció szóródása is csökken a városok méretének növekedésével. Ennek éppen az ellenkezője igaz a lakóhelyi szegregáció és a roma lakosok arányának összefüggése esetében (lásd az ábra jobb oldali paneljét). Azokban a városokban, ahol magasabb a roma tanulók aránya, a lakóhelyi szegregáció mértéke is nagyobb. Hangsúlyoznunk kell azonban, hogy ezek az összefüggések igen gyengék. A városok lakóhelyi szegregációjának eltérései mögött valószínűleg a város méretén és etnikai összetételén kívüli tényezők állnak.
6. ábra Lakóhelyi szegregáció, népességszám és a roma lakosok aránya a vizsgált 100 városban

A lakóhelyi szegregáció iskolai szegregációt befolyásoló szerepét jelentősen módosíthatja az iskolakörzetek közötti ingázás. A magyar általános iskolai rendszer fontos jellegzetessége a szabad iskolaválasztás lehetőségéből következő ingázás, az a gyakorlat, hogy a tanulók egy része nem a lakóhelyének megfelelő körzeti iskolába jár. Az ingázási gyakorlat sajátos jellemzője a szelektivitás. Az országos kompetenciamérésből származó tanulói háttéradatok számottevő eltéréseket mutatnak a különböző családi hátterű tanulók ingázási hajlandóságában. A vizsgált 100 város 8. évfolyamos tanulói közül 2009-ben az alacsony státusú tanulók – ahol az anya iskolai végzettsége nem haladja meg a 8 osztályt – kevesebb mint 25 százaléka járt nem a lakóhelyi körzetének megfelelő iskolába. Ugyanez az arány a magasabb státusú tanulók esetében – ahol az anya érettségizett vagy diplomás – 50 százalék. Az ingázó tanulók saját iskolakörzetük iskoláinál „jobb” iskolákba járnak, ami jelentheti azt, hogy ezek az iskolák jobb minőségű szolgáltatásokat nyújtanak (jobb tanárokat alkalmaznak, jobban felszereltek stb.), de lehet, hogy csak abban az értelemben „jobbak”, hogy magasabb státusú, jobb képességű tanulók látogatják őket.
Erős, pozitív irányú összefüggés áll fenn az iskolák száma és a magasabb társadalmi státusú tanulók körzeti iskolájuktól különböző iskolákba való ingázása között. A 7. ábra mutatja be ezt a kapcsolatot. Az összefüggés li neárishoz közeli, amennyiben a városok számát logaritmikus skálán mérjük; konkáv, amennyiben az iskolák számát természetes mértékegységben mérjük. Az összefüggés erőssége számottevő: azokban a városokban, ahol csak néhány iskola található, a magasabb státusú tanulók kevesebb mint 20 százaléka ingázik nem a lakóhelyének megfelelő körzeti iskolába, míg a 10 iskolával rendelkező városokban ez az arány 40 százalék. A 40 iskolás városokban az ingázók aránya a 60 százalékot is meghaladhatja.
7. ábra Tanulói mobilitás és az oktatási piac mérete

Azoknak a magasabb státusú gyerekeknek az aránya (anya iskolai végzettsége: érettségi vagy felsőfok), akik nem a lakóhelyük által meghatározott iskolakörzetbe járnak (függőleges tengely) és a város iskoláinak száma (vízszintes tengely; 2006 és 2010 közötti átlag, logaritmikus skála)
A nagyobb oktatási piaccal rendelkező városokban nagyobb az iskolakínálat, több iskola található, emiatt az iskolák közti különbségek is jelentősebbek lehetnek, s így az elkülönülés lehetősége is nagyobb lesz. A 8. ábra pontosan ezt az összefüggést mutatja be: a nagyobb iskolakínálattal rendelkező városokban valóban jelentősebbek az iskolák közti minőségi különbségek. Az ábrán a városok iskoláinak száma és az iskolák átlagos tesztpontszámainak szóródása látható. A heterogenitást az iskolák 8. osztályos átlagos tesztpontszámának szórásával mérjük, és mind a szórás, mind az iskolák számának esetében a vizsgált évek (2006–2010) átlagos értékét használjuk.
8. ábra Az iskolák közti különbségek és az oktatási piac mérete

Olvasásteszt-eredmény Matematikateszt-eredmény
A 8. osztályos teszteredmények iskolaszintű átlagainak szórása a városban (függőleges tengely) és a város iskoláinak száma (vízszintes tengely; 2006 és 2010 közötti átlag, logaritmikus skála)
A 8. ábra pozitív összefüggést mutat az oktatási piac mérete és az iskolák közti különbségek mértéke között. Ez az összefüggés erősebb a matematikateszt- eredmények esetében, és konkáv alakú, amennyiben az iskolák számát abszolút skálán mérjük (a konkáv, ellaposodó jelleg igen hangsúlyos, mivel az iskolák számát logaritmikus skálán ábrázolva is megjelenik).
A 7. és 8. ábrán bemutatott eredmények egyértelműen alátámasztják a szelekció folyamatáról szóló érvelésünket, amelyet az elméleti kereteket ismertető fejezetben fogalmaztunk meg. Amennyiben az iskolák feltételezett minőségük alapján egyértelmű rangsorba állíthatók, a megfigyelhető jellemzőik alapján jobb képességűnek tartott gyerekek – akiknek jobb az óvodai értékelésük, magasabb felvételi pontszámot értek el, vagy csak magasabb a társadalmi státusuk – igyekezni fognak az iskolai rangsor felső szegmensében található iskolákba bejutni. A megfigyelhető képességeik alapján rosszabbnak tartott gyerekek legjobb iskolákba való bekerülési esélyei rosszabbak lesznek, így végül ők a rangsor alján található iskolákba fognak bekerülni. Az egész folyamatot a magasabb státusú gyerekek ingázási hajlandósága szabályozza, egyrészt az óvoda-iskola átmenet során (az 1. osztályba történő beiratkozáskor), másrészt a nagyobb városokban a 4. és 6. osztályba való beiratkozásnál, amikor lehetőség nyílik a legnagyobb presztízsű hat-, illetve nyolcosztályos gimnáziumokba való bekerülésre. Ugyanez a folyamat természetesen a 8. osztály befejezése után, a középiskolai felvételiknél is lejátszódik.
5. Iskolaiszegregáció, lakóhelyi szegregáció és oktatáspolitika: regressziós elemzés
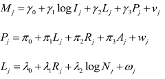
Ebben a részben megpróbáljuk megmérni a roma tanulók iskolák közötti szegregációjának alacsonyabb vagy magasabb szintjét eredményező mechanizmusok hatáserősségét. A modellünk alapjául szolgáló lineáris regressziók rendszere nem alkot a szó szigorú ökonometriai értelmében vett strukturális rendszert, mivel a magyarázó változók variabilitása nem tekinthető egzogénnak. Eredményeink inkább olyan statisztikai együttmozgásokként értelmezhetők, amelyek – a többi változóra való kontrollálás mellett – alátámasztják vagy megkérdőjelezik az elmélet által előre jelzett mechanizmusok jelenlétét a megfigyelt adatokon.
Amint azt korábban bemutattuk, számottevő heterogenitás figyelhető meg a szegregáció mértékét illetően a 100 városban. A szegregációs index értéke 0 és 75 százalék között mozog, átlagos értéke 15, szórása pedig 16 százalék. Elméleti megfontolások alapján négy olyan mechanizmust azonosíthatunk, amelyek magyarázatot adhatnak a városok szegregációs indexeinek különbözőségére. Amikor a következőkben bemutatjuk ezeket a mechanizmusokat, a regressziós modellekben szereplő megfelelő mérési változókra is hivatkozunk.
Az első mechanizmus szerint az iskolák közötti etnikai szegregáció (S) akkor lesz nagy, ha erőteljes a lakóhelyi etnikai szegregáció (L). Ha a roma és nem roma tanulók a lakóhelyükhöz közeli iskolákba járnak, a jelentős mértékű lakóhelyi szegregáció nem ad lehetőséget az iskolai keveredésre.
A szabad iskolaválasztás rezsimjében az iskolai szegregáció még kismértékű lakóhelyi szegregáció esetén is magas lehet, amennyiben a tanulók ingáznak az iskolakörzetek között. A magasabb státusú gyerekek jelentős mértékű ingázása (M) az iskolák etnikai összetételét egyenlőtlenné változtathatja. Korábban rámutattunk arra, hogy míg az alacsonyabb státusú tanulóknak csupán negyede tekinthető mobilnak, addig a magasabb státusú diákok esetében a nem a saját iskolakörzetükben tanulók aránya 50 százalék. Mivel az ingázó tanulók általában azért vállalják az ingázás költségeit, hogy a saját iskolakörzetükben található iskolánál jobb iskolába járhassanak, a magasabb státusú tanulók nagyobb fokú mobilitása azt jelzi, hogy a választott iskolák vagy jobb tanárokat és felszereltséget, vagy magasabb státusú, jobb képességű osztálytársakat biztosítanak.
A harmadik mechanizmus szerint a helyi oktatáspolitika (P) hosszabb távon szintén befolyásolni tudja az iskolai szegregáció mértékét olyan esz- közök és intézkedések révén, amelyek közvetlenül érintik a tanulók elkülönülését és keveredését a helyi oktatási rendszerben.
Végül, a képességek szerinti szelekció és a legtöbb város kis mérete pozitív irányú kapcsolatot eredményezhet a roma tanulók aránya (R) és a szegregáció mértéke (S) között. Azokban a kisebb városokban, ahol a roma tanulók száma alacsony, még az összes roma tanuló egy iskolába koncentrálódása esetén is számíthatunk arra, hogy lesznek nem roma iskolatársaik, s így a szegregáció nem lesz teljes. Ezzel szemben a sok roma tanulóval rendelkező kisvárosokban a képességek szerinti elkülönülés jelentősebb mértékű szegregációhoz vezethet, mivel a roma tanulók nagyobb népességszáma könnyebben eredményezheti egy kizárólag romákat oktató iskola létrejöttét. Ugyanez érvényes az alacsony, illetve magas népességszámú nagyobb városok különbségére is.
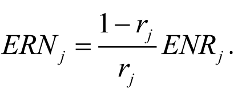
Az alábbi regresszió igyekszik megregadni ezeket a mechanizmusokat (a j alsó index az egyes városokat jelöli):

Az oksági láncban egy lépést visszalépve, három kiegészítő egyenletet írhatunk fel, amelyek mindegyike egy-egy mechanizmus meghatározó tényezőit igyekszik feltárni: (i) a magasabb státusú tanulók mobilitásáét; (ii) a szegregációt közvetlenül befolyásoló helyi oktatáspolitika gyakorlatáét; (iii) a lakóhelyi szegregációét. A fenti sorrendnek megfelelően a három regresszió a következő formát ölti:

A 10. táblázat mutatja be a regressziós modellekben használt változók alapstatisztikáit. Mivel az egyenleteket súlyok használata nélkül becsüljük, a leíró statisztikákat is súlyozás nélkül közöljük. A szegregációs index súlyozatlan átlaga alacsonyabb, mint a súlyozott átlag, mivel a kisebb városok átlagosan kevésbé szegregáltak. A roma tanulók arányának súlyozatlan átlaga ezzel szemben magasabb, mint a súlyozott átlag, mivel a kisebb városokban jellemzően magasabb a romák aránya.
10. táblázat A regressziós modellek változóinak leíró statisztikái (súlyozatlan átlagok és szórások, megfigyelések száma = 99)

A 11. táblázat tartalmazza regressziós modellünk alapegyenletének becslését, a függő változó az iskolák közötti szegregáció indexe (S). A táblázatban a jobb oldali változók, becsült együtthatóik (β0-tól β5-ig), a megfelelő standard hibák a hozzájuk tartozó szignifikanciaszintekkel, valamint a standardizált regressziós együtthatók találhatók.
11. táblázat A regressziós modell alapegyenletének eredményei. Megfigyelések száma: 99

Robusztus standard hibák. * 5 százalékon szignifikáns. ** 1 százalékon szignifikáns.
A táblázat utolsó oszlopában szereplő standardizált regressziós együtthatók azt mutatják meg, hogy a magyarázó változók egy szórásegységnyi változása hány szórásegységnyi változást idéz elő az iskolai szegregáció indexének értékében. A standardizált együtthatók értelmezése egyszerűbb, mint a szokásos együtthatóké, mivel a függő változónak (S) és a legtöbb jobb oldali változónak nincs természetes mértékegysége. Például a helyi oktatáspolitikai gyakorlatot mérő index (P) standardizált regressziós együtthatója azt mutatja meg, hogy azokban a városokban, ahol a szóban forgó index értéke egy szórásegységgel magasabb, az iskolai szegregációs index értéke – egyéb tényezők változatlansága esetén – átlagosan 0,15 szórásegységgel nagyobb.
Az eredmények erősek, különösen a minta elemszámának tükrében, és figyelembe véve azt, hogy a függő és a legtöbb független változónk mérése számottevő véletlen hibát tartalmaz. Egyedül az iskolai szegregáció és a lakóhelyi szegregáció (L) között nincs statisztikailag szignifikáns kapcsolat. A magas státusú tanulók iskolakörzetek közti mobilitása (M) és az iskolai szegregáció közti kapcsolat erős és statisztikailag is szignifikáns. Azokban a városokban, ahol a magasabb státusú tanulóknak a körzetek közötti mobilitása egy szórásegységgel magasabb, az általános iskolák szegregáltsága nagyjából egyharmad szórásegységgel nagyobb. A helyi oktatáspolitika (P) szerepe kisebb, de semmiképpen sem elhanyagolható. Azok az intézkedések, amelyek a szegregáció növekedését valószínűsítik, valóban magasabb iskolai szegregációhoz vezetnek, jóllehet a két tényező közti kapcsolat gyengébb a mobilitás esetében tapasztaltnál. Azokban a városokban, ahol a helyi oktatáspolitika indexe egy szórásegységgel magasabb értékű (azaz az oktatáspolitikai eszközök alkalmazásában erős szegregációs elfogultság figyelhető meg), átlagosan egyhatod szórásegységgel magasabb iskolai szegregációt mérünk. A legerősebb összefüggést a roma tanulók arányát (R) mérő változó esetében találjuk, a standardizált együttható értéke 0,54.
A kiegészítő regressziók becsléseit a 12. táblázatban közöljük. A becslések bemutatják a tanulói mobilitás, a helyi oktatáspolitika szegregációs irányultságát mérő index és a lakóhelyi szegregációs index kapcsolatát egyéb jobboldali változókkal. A táblázat szerkezete a 11. táblázatéhoz hasonló.
12. táblázat A regressziós modell kiegészítő egyenleteinek eredményei. Megfigyelések száma: 99

Robusztus standard hibák. * 5 százalékon szignifikáns. ** 1 százalékon szignifikáns.
Az eredményeket a 9. ábrán foglaljuk össze, ahol egy útmodell segítségével mutatjuk be a szignifikáns összefüggéseket. A nyíllal ellátott vonalak statisztikailag szignifikáns összefüggéseket jelképeznek, a mellettük elhelyezkedő számok a becsült standardizált együtthatók. Egy vonal kiindulópontja a megfelelő regressziós modell magyarázó változója, míg a nyíl a modell függő változójára mutat (a modellekben kontrollként természetesen szere- pelnek a további magyarázó változók is). A nem szignifikáns összefüggéseket nem közöljük.
9. ábra A regressziós modellek eredményei (standardizált regressziós együtthatók) a 11. és 12. táblázatból

*1 százalékon szignifikáns. ** 5 százalékon szignifikáns. A nem szignifikáns együtthatókat (útvonalakat) nem ábrázoljuk.
Összegezve a legfontosabb eredményeket, azt látjuk, hogy a vizsgált városokban az általános iskolák szegregáltsága erősen összefügg a magasabb státusú tanulóknak az iskolakörzetek közti ingázásával, a helyi oktatáspolitikával, továbbá a roma tanulók városi arányával. A lakóhelyi szegregáció nincs közvetlen összefüggésben az iskolai szegregáció mértékével, feltehetően azért, mert a szabad iskolaválasztás rezsimjében a tanulók iskolakörzetek közötti mobilitása erősen csökkenti a tényleges lakóhely szerepét. Hozzájárul ehhez az is, hogy a vizsgált városokban az ingázási költségek alacsonyak.
Az iskolakörzetek közti mobilitás a legszorosabban a városban található iskolák számával függ össze. Ez a kapcsolat alátámasztja azt a hipotézisün- ket, hogy az oktatási piac mérete komoly hatással van a képességalapú szelekció mértékére. A 8. ábrán bemutatott eredmények szerint ez a szerep főképp abból eredhet, hogy a sok iskolát magában foglaló nagyobb oktatási piac nagyobb teret enged az iskolák közti minőségi különbségeknek.
A helyi oktatáspolitikai gyakorlat (P) a tágabb politikai környezethez kapcsolódik, amit az oktatáspolitikának az esélyegyenlőséggel kapcsolatos általános attitűdjével (A) mértünk. Ez azt jelenti, hogy minél inkább szegényellenes attitűd jellemzi a helyi oktatáspolitikát, annál inkább hajlamos rá, hogy szegregációs irányultságú intézkedéseket alkalmazzon. Az oktatáspolitikai gyakorlatot mérő index azonban, meglepő módon, nem áll közvetlen kapcsolatban a roma lakosság arányával, ehelyett a lakóhelyi szegregációval mutatkozik szignifikáns összefüggés. A helyi oktatáspolitika azokban a városokban hoz inkább szegregációs irányultságú intézkedéseket, ahol a roma népesség szegregált körzetekben él. A roma lakosok lakóhelyi szegregációja valamivel nagyobb azokban a városokban, ahol a roma népesség részaránya magas.
Az eredmények összhangban vannak az iskolák etnikai szegregációjáról szóló elméleti modellünkből származó következtetésekkel. Az elméleti kereteket taglaló modell fő üzenete az volt, hogy az iskolák etnikai összetétele elsősorban a képességek és a családi háttér szerinti szelekció miatt különbözik egymástól. A magyar általános iskolai rendszer egyik sajátossága a szabad iskolaválasztás, amely a legtöbb vizsgált városban mérsékelt ingázási költséggel párosul. A családok az iskolák presztízse és tanulói összetétele szempontjából „legjobb” iskolát igyekeznek gyermekeiknek választani, az iskolák pedig igyekeznek lehetőleg jó képességű diákokat felvenni. A szelekciós folyamat hátterében álló elsődleges mechanizmus az ingázás, vagyis a tanulók iskolakörzeteken átnyúló mobilitása. Ennek eredményeképpen a lakóhelyi szegregáció szerepe, ami a szabad iskolaválasztás hiányában az elsődleges tényező lenne, erősen lecsökken. A strukturális regressziók eredményei egyértelműen alátámasztják a modell következtetéseit: az etnikai szegregáció és a körzeteken átnyúló mobilitás között erős a kapcsolat, míg a lakóhelyi szegregáció szerepe gyenge. A körzeteken átnyúló mobilitás legfontosabb meghatározó tényezője az oktatási piac mérete, ami összhangban áll az iskolák érzékelt minőségének és különbözőségének a szelekcióban játszott szerepéről szóló elmélettel.
A helyi oktatáspolitikának van mozgástere az iskolák közötti etnikai szegregáció alakításában. A helyi oktatáspolitikai gyakorlatot a vizsgált 100 városban számottevő heterogenitás jellemzi. Ennek a heterogenitásnak az okait nehéz meghatározni, de a tágabb oktatáspolitikai környezet nem elhanyagolható szerepet játszik benne. Érdekes módon a helyi oktatáspolitikai intézkedések jellegével a lakóhelyi szegregáció mértéke is összefüggésben áll, ami viszont kapcsolatban lehet a városra jellemző általános társadalmi értékekkel és attitűdökkel, ugyanakkor ezt a feltételezett kapcsolatot empirikusan nem vizsgáltuk. Eredményeink szerint a roma lakosok aránya nem áll kapcsolatban a helyi oktatáspolitika szegregációs irányultságával. Ez a tény alátámasztja azt a gondolatot, hogy az iskolai szegregáció elsődleges forrása nem az, hogy a nem roma családok igyekeznek elkerülni a roma tanulókat, hanem inkább az iskolák feltételezett minőségén és a tanulók megfigyelhető képességein alapuló erőteljes szelekció, amelyet a szabad iskolaválasztás és az alacsony ingázási költség tesz lehetővé. Amennyiben ez a feltételezés helytálló, akkor a roma tanulók közvetett módon válnak a rendszer áldozatává.
Eredményeink szerint egy a fentieknél is fontosabb tényező is szerepet játszik az iskolai szegregáció kialakulásában: a roma tanulók aránya. Szelekciós modellünkben ez a kapcsolat azért áll fenn, mert egy átlagos városban a roma tanulók száma kisebb, mint egyetlen iskola befogadóképessége. Emiatt a roma és nem roma tanulók iskolai keveredése ezekben a városokban még abban az esetben is elkerülhetetlen, ha minden egyes roma tanuló azonos iskolába jár. Ugyanakkor a becsült kapcsolat túlságosan erősnek tűnik ahhoz, hogy ezt az egyszerű mechanizmust kizárólagos magyarázatként elfogadjuk. A két változó erős kapcsolata a színvak szelekciós folyamat mellett más mechanizmusok jelenlétét is valószínűsíti. Nevezetesen azt, hogy az etnikai hovatartozás is a tanulók képességének egyik lényeges jelzése lehet azokban a városokban, ahol magasabb a romák aránya. Ez a mechanizmus behozna egy közvetlen etnikai elemet a fent leírt szelekciós folyamatba, és tovább erősítené a roma tanulók társadalmi megbélyegzettségét. Ennek a hatásnak a vizsgálata, tekintve, hogy a rendelkezésükre álló adatokkal nem végezhető el, túlmutat tanulmányunk keretein.
A körzeteken átnyúló tanulói mobilitás iskolai szegregációban játszott szerepe igen hangsúlyos, míg a lakóhelyi szegregációé gyenge, feltehetően éppen a körzetek közti ingázásnak köszönhetően. Mindezeken túl azt találtuk, hogy a helyi oktatáspolitika is szerepet játszik az iskolák közötti szegregáció mértékének alakításában.
6. Következtetések
Tanulmányunk központi témája a lakóhelyi szegregáció és a helyi oktatáspolitika iskolai szegregációra gyakorolt hatásának vizsgálata volt 100 magyar város esetében. Elemzésünk az általános iskolás tanulók etnikai szegregációjára fókuszált. Azt vizsgáltuk, milyen mértékben van lehetőségük a roma és nem roma tanulóknak kapcsolatba kerülniük egymással iskolai környezetükben. Az iskolai szegregáció minél pontosabb mérésének érdekében országos adatfelvételeket használtunk.
A lakóhelyi szegregáció és a helyi oktatáspolitika méréséhez saját adatfelvételt készítettünk. Tanulmányunk fő újdonságát a helyi oktatáspolitika szegregációs-integrációs irányultságának mérése jelentette. Az önkormányzatok oktatási hivatalainak vezetőivel készített strukturált, kérdőíven alapuló interjúk segítségével tíz olyan oktatáspolitikai eszközt számszerűsítettünk, amelyek alkalmasak lehetnek az iskolák között szegregáció csökkentésére/ növelésére. Adataink szerint a vizsgált önkormányzatok jellemzően a tanulói mobilitás által generált szegregációt még tovább növelő oktatáspolitikát folytatnak. Noha az oktatáspolitikák szegregációs irányultsága átlagosan mérsékeltnek mondható, az egyes városok közötti különbségek azonban igen nagyok. Míg néhány város törekszik arra, hogy az iskoláinak etnikai összetétele hasonló legyen, addig más városok iskolapolitikáját erőteljes szegregációs irányultság jellemzi.
Eredményeink azt mutatják, hogy az iskolai szegregáció átlagos szintje közepesen erős a magyar városokban. Az időbeli trendet vizsgálva azt láttuk, hogy az iskolai szegregáció 1992 és 2006 között erőteljesen növekedett, 2006 és 2008 között csökkent, 2008 és 2010 között változatlan maradt. Ugyanakkor az adatok hiányosságai miatt a 2006 utáni trend bizonytalan.
Az iskolai szegregáció, a lakóhelyi szegregáció, a tanulói mobilitás és a helyi oktatáspolitika mérőeszközeit felhasználva egy statisztikai modellel értékeltük a roma tanulók iskolai szegregációját meghatározó oksági mechanizmusok relatív fontosságát a vizsgált 100 városban.
Eredményeink szerint az iskolai szegregáció szignifikáns összefüggésben áll a tanulói mobilitással, a roma lakosok arányával és a helyi oktatáspolitikával. Ezek az összefüggések a többi tényező kontrollálása mellett is fennállnak. Más szavakkal, a roma lakosok adott aránya és adott oktatáspolitikai környezet mellett a magasabb státusú tanulók magasabb arányú mobilitása nagyobb mértékű iskolai szegregációval párosul. Ezzel párhuzamosan, a középosztálybeli tanulók mobilitását és az oktatáspolitikai kör- nyezetet adottnak véve, a roma lakosok magasabb aránya erősebb iskolai szegregációval jár együtt. Végül, a mobilitás és a roma lakosok arányának adott szintje esetén, azokban a városokban, ahol a helyi oktatáspolitika inkább szegregációs irányultságú, az iskolai szegregáció is jellemzően erősebb. Mindezeken túl, a lakóhelyi szegregáció a tanulói mobilitással ellentétben nem áll szignifikáns kapcsolatban az iskolai szegregációval.
Eredményeink összhangban vannak az iskolaválasztás egyszerű modelljével, amely az iskolák érzékelt minőségének különbségeire, valamint a képességek és a családi háttér szerinti szelekcióra épül. Adataink az iskolakörzeteken átnyúló tanulói mobilitás iskolai szegregációt meghatározó hangsúlyos szerepére mutattak rá. A lakóhelyi szegregáció szerepe gyenge, feltehetően éppen az iskolakörzeteken átnyúló tanulói mobilitás következményei miatt. Az iskolai szegregáció szoros összefüggése a roma tanulók arányával arra utalhat, hogy az iskolai szegregáció mögött nemcsak színvak szelekciós folyamatok állnak, hanem etnikai kapcsolatokkal közvetlenül összefüggő okok is szerepet játszhatnak, amelyeket a rendelkezésünkre álló adatokkal nem tudunk megfogni. Rámutattunk arra is, hogy a helyi oktatáspolitikának van mozgástere az iskolák közötti szegregáció mértékének alakításában: erősítheti, de mérsékelheti is a szelektív mobilitásból következő széttartó erőket. Az országos helyzetre inkább az a jellemző, hogy erősíti.
Jegyzetek
1. Havas, Kemény és Liskó, 2002; Havas, 2008; Havas és Zolnay, 2011.
2. Zolnay, 2006 (Miskolc és Nyíregyháza); Neumann és Zolnay, 2008 (Kaposvár, Pécs és Mohács); Andl, Kóródi, Szűcs és Vég, 2009 (egyes budapesti kerületek és más többiskolás települések); Zolnay, 2010 (Pécs).
3.Az eredeti közlemény magyar nyelven itt: http://www.econ.core.hu/file/download/bwp/bwp1406.pdf [5], angol nyelven pedig itt található: http://www.romaeducationfund.hu/sites/default/files/publications/school_segregationschool_choice_and_educational_policies_-_final_2013.pdf [6]
A tanulmány alapjául szolgáló kutatást és az abból készült angol nyelvű jelentés magyarra fordítását a Roma Educational Fund támogatta. A fordítás Hajdu Tamás munkája. A tanulmányunk alapjául szolgáló adatfelvételben igen sok kollégánk vett részt. A helyi oktatáspolitika mérési stratégiájának kidolgozását Bernáth Gáborral és Zolnay Jánosal végeztük. A közös munka során sokat tanultunk tőlük. Bernáth Gábor kiváló koordinátorként működött. Hajdu Tamás és Teller Nóra kiváló kutatási asszisztensi munkát végzett az egész projekt ideje alatt. Jakobi Ákos készítette el a 100 város körzetekre lebontott térképét. Köszönjük a Geox Kft. (és különösen Prajczer Tamás és Géczi Judit) nagyvonalú segítségét, amelynek köszönhetően megkaptuk a kutatásba bevont városok elektronikus térképeit és a szavazókörzetek lakosságára vonatkozó háttéradatokat. Az adatok feldolgozásában Hajdu Tamás, Tir Melinda és Horn Dániel volt a segítségünkre. A kutatáshoz szükséges interjúkat Arató Ferenc, Barát Szabolcs, Berki Judit, Bernáth Péter, Billus Daniela, Dancsné Ivancsik Erika, Daróczi Gábor, Domokos Vera, Kadét Ernő, Molnár Lajos, Nagy Ildikó Emese, Szűcs Norbert, Varga Aranka és Wagner Tamás készítette. Mindannyiuk részvételét és színvonalas munkáját köszönjük. Végül, de nem utolsósorban köszönjük a Roma Education Fund támogatását. Köszönjük Mihai Surdu számos értékes megjegyzését. Külön köszönettel tartozunk Szira Juditnak a támogatásáért.
4. A szegregációs indexek értékei SA=0.05, SB=0.39, SC=0.40, SD=1.00. A bemutatott példában SB<SC, azonban az elméletből ez a reláció nem következik, más számpélda ettől eltérő eredményre is vezethet.
5. http://econ.core.hu/file/download/100varos/fuggelekek.pdf [7]
6. A kitettségi mutatók és a szegregációs index definícióját lásd később ebben a részben.
7. A hiányzó etnikai adatok pótlásának alapeljárása során először a korábbi/későbbi évek telephelyi kérdőíveinek segítségével igyekeztünk pótolni a roma tanulók arányára vonatkozó információt. Amennyiben ez nem volt lehetséges, akkor a szegény gyermekek arányát használtuk fel. Azok az iskolák (évente nagyjából 30), ahol egyik módszer sem vezetett eredményre, kimaradtak az elemzésből. A lehető legkisebb szegregációs indexet eredményező adatpótlás során a hiányzó adatokat a roma tanulók városi átlagával helyettesítettük. A lehető legnagyobb szegregációs indexet eredményező eljárás során pedig vagy 0, vagy 1 értékkel pótoltuk a roma tanulók hiányzó arányát oly módon, amely változatlanul hagyta a roma diákok aránya a városban: 0 értéket kaptak a kisebb iskolák, 1-et pedig a nagyobb iskolák, ami megfelel a nem adathiányos iskolák esetében megfigyelt összefüggésnek.
8. http://econ.core.hu/file/download/100varos/fuggelek_B.pdf [8]
9. E lméletileg a népszámlálás jelentené a legjobb információforrást, mivel lefedi az ország egészét, és elég kis földrajzi egységekre (népszámlálási számlálókörzetekre) is szolgáltat adatot. A kézirat lezárásáig azonban nem álltak rendelkezésre a 2011. évi népszámlálás számlálókörzet szintű etnikai adatai.
10. Néhány esetben, amikor a számlálókörzetek több szavazókörhöz tartoztak, az adott számlálókörzetet ahhoz a szavazókörhöz rendeltük, amelybe az adott számlálókörzet legnagyobb része esett. A rendelkezésre álló adatok nem tették lehetővé ezeknek a számlálókörzeteknek a szavazókörök közötti felosztását.
11. http://econ.core.hu/file/download/100varos/fuggelek_C.pdf [9]
12. http://econ.core.hu/file/download/100varos/fuggelek_E.pdf [10]
13. http://econ.core.hu/file/download/100varos/fuggelek_D.pdf [11]
14. E bben az időszakban (1980, 1989, 1992) nem voltak több telephellyel rendelkező intézmények, és minden iskola szolgáltatott adatok a roma tanulók számáról. A tanulók etnikai hovatartozására vonatkozó adatgyűjtés a 1992/93-as tanév után szűnt meg.
15. E gy nemrég megjelent tanulmányunkban (Kertesi és Kézdi, 2013) az iskolák közötti szegregációt elemeztük országos szinten a magyar iskolák etnikai összetételi adatainak segítéségével. Az elemzés a tanulók ingázása tekintetében zárt településhalmazokon (iskolakörzeteken) belül vizsgálta az iskolai szegregációt. A most vizsgált 100 város jellemzően olyan iskolakörzetek részét képezi, amelyekbe magukon az illető városokon kívül a környező kisebb települések beletartoznak. Az iskolai szegregáció trendje ezeken az ingázási körzeteken belül nagyon hasonló a fent bemutatott, városi trendekhez.
Hivatkozások
Andl Helga, Kóródi Miklós, Szűcs Norbert és Vég Zoltán Ákos (2009): Regisztráció, körzethatár, előnyben részesítés. A halmozottan hátrányos helyzetű tanulók integrált oktatásának biztosítása a beiskolázás szabályozásával. Esély, 3. szám
Clotfelter, C. T. (1999): Public school segregation in metropolitan areas. Land Economics, 75. évf., 4. szám
Clotfelter, C. T. (2004), After Brown. The Rise and Retreat of School Desegregation. Princeton and Oxford: Princeton University Press
Epple, D. és Romano, R. E. [1998]: Competition between private and public schools, vouchers, and peer-group effects. American Economic Review, 88. évf., 1. szám
Fiske, E. B. és Ladd, H. F. [2000]: When schools compete. A cautionary tale. Brookings Institution Press, Washington, DC
Havas Gábor (2008): Esélyegyenlőség, deszegregáció. Megjelent: Zöld könyv a magyar közoktatás megújításáért. Szerk: Fazekas Károly, Köllő János és Varga Júlia, Ecostat, Budapest
Havas Gábor, Kemény István és Liskó Ilona (2002): Cigány gyerekek az általános iskolában. Oktatáskutató Intézet – Új Mandátum Könyvkiadó, Budapest
Havas Gábor és Zolnay János (2011): Sziszifusz számvetése. Az integrációs oktatáspolitika. Beszélő, 16. évf., 6. szám
Hsieh, Ch.-T és Urquiola, M. (2006): The effects of generalized school choice on achievement and stratification: Evidence from Chile’s voucher program. Journal of Public Economics, 90. évf., 8–9. szám
Kemény István, Janky Béla és Lengyel Gabriella (2004): A magyarországi cigányság (1971–2003). Gondolat Könyvkiadó, Budapest
Kertesi, Gábor és Kézdi, Gábor (2013): Ethnic segregation between Hungarian schools: Long-run trends and geographic distribution.” Hungarian Statistical Review. Special number 16
Ladd, H. F. és Fiske, E. B (2001): The uneven playing field of school choice: evidence from New Zealand. Journal of Policy Analysis and Management, 20. évf., 1. szám
Manski, C. F. (1992): Educational choice (vouchers) and social mobility. Economics of Education Review, 11. évf., 4. szám
Nechyba, T. J. (1999): School finance induced migration and stratification patterns: the impact of private school vouchers. Journal of Public Economic Theory, 1. évf., 1. szám
Neumann Eszter és Zolnay János (2008): Esélyegyenlőség, szegregáció és oktatáspolitikai stratégiák Kaposváron, Pécsen és Mohácson. EÖKIK Műhelytanulmányok, 38. szám, Budapest
Zolnay János (2006): Kényszerek és választások. Oktatáspolitika és etnikai szegregáció Miskolc és Nyíregyháza általános iskoláiban. Esély, 4. szám.
Zolnay János (2010): „Az olvashatatlan város”. Közoktatási migráció és migrációs iskolatípusok Pécsen. Esély, 6. szám
Képbeszúrás
- Emléknyom [45]