A hiperbolikus sík valamely centrális sugársorának az egyeneseit a P - modellen egy hiperbolikus körsor köreinek a k alapkörbe eső körívei, a hozzá tartozó szabályos görbék - koncentrikus körök - halmazát pedig az erre merőleges elliptikus körsornak a k belsejébe eső elemei modellezik.
Az egyirányú sugársor egyeneseinek a modellen egy parabolikus körsor köreinek a k, -ba eső ívei, a sugársorhoz tartozó paraciklusok halmazának egy az előzőre merőleges, ugyancsak parabolikus körsor k -beli elemei felelnek meg.
Az eltérő sugársor egyeneseit a P-modellen egy elliptikus körsor köreinek a k alapkörbe eső ívei modellezik, tartó egyenesét pedig az előző körsorra ortogonális körsornak az a köríve, ill. átmérője, amely egyenest reprezentál, tehát merőleges k -ra. E körsor többi elemének a k körbe eső körívei modellezik a hiperciklusokat.
E körsorokat szemlélve megfigyelhetjük, hogy maga a P-modell k alapköre is eleme a ciklusokat reprezentáló körsornak.
A sugársorokat, ill. ciklusaikat bemutatva természetesen ezeknek csak véges sok elemét rajzolhattuk meg. Ezek közül most egy problémával foglalkozunk kissé részletesebben: miként lehet modellezni egy adott egyenesre merőleges, egymástól egyenlő (egységnyi) távolságra lévő egyeneseket, azaz miként tudunk megadni egy egyenesen az egész számoknak megfelelő beosztást. Ezzel lényegében arra keresünk választ, hogy az abszolút geometria folytonossági, vagy másképpen mérési axiómacsoportjában megfogalmazott összefüggések szemléletessé tételére milyen lehetőségeink kínálkoznak a P-modellen.
A folytonossági axiómák eredményeképpen
válik lehetővé, hogy az egyenes minden pontjához kölcsönösen egyértelműen
hozzárendeljünk egy valós számot, azaz előállítsunk egy számegyenest:
Minden szakaszhoz hozzárendelhető egy pozitív valós szám (a szakasz hossza vagy mérőszáma) úgy, hogy egybevágó szakaszok hossza egyenlő legyen, valamint, ha egy szakaszt valamely belső pontjával két szakaszra bontunk, akkor a keletkezett szakaszok mérőszámainak összege egyezzen meg az eredeti szakasz mérőszámával. |

A számítógépi rajzhoz nyilvánvalóan szükségünk lesz e pontoknak a képernyő koordinátarendszerében vett koordinátáira. Mi most azonban használjunk egy olyan (euklídeszi értelemben vett, tehát hagyományos) Descartes-féle koordinátarendszert, melynek az origója a k kör O középpontja, abszcisszatengelye az (OE1) egyenes (A két koordinátarendszer közötti transzformáció számítástechnikai probléma.) A továbbiakban h(AB) -vel fogjuk jelölni a hiperbolikus sík A és B pontjának a hiperbolikus síkon mért távolságát, ugyanezen pontok P- modellbeli, (vagyis az előbbi koordinátarendszerben mért) távolságát pedig d(AB) -vel.
A feladatunk tehát az, hogy előállítsunk
egy olyan
sorozatot,
melyre
,
,
, és
, ahol e<r tetszőleges valós szám.

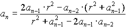
Vegyünk fel az O kezdőpontú félegyenesen
két pontot, A -t és B -t! Legyen a=d(OA) , b=d(OB) ,
az [OB) -re (és k -ra) merőleges, B
-re illeszkedő s kör sugara. Legyen
továbbá
és c=d(OC) .(A
hiperbolikus síkon C az A pontnak az s egyenesre vonatkozó tükörképe.)
Mivel
, ezért
.
Másrészt
, ezért
.
Ebből
.
Így a már vázolt inverziók sorozatával az
sorozatra a következő rekurzív képletet kapjuk:
,
(ahol
tetszőleges valós szám) ,
ha
természetes szám.
Belátható, hogy
.
Az eddigiek alapján csak a természetes számoknak megfelelő pontokat tudjuk kijelölni a hiperbolikus sík azon számegyenesén, amelynek a képe a P-modellen egy átmérő.
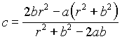
A hiperbolikus sík A és B pontja közötti távolságot (az AB szakasz
hiperbolikus mértékét) a Cayley-Klein modellen - melyen kollineáris pontok
modellbeli megfelelői is kollineárisak - a
képlettel kapjuk, ahol c egy tetszőleges,
de az adott modellre nézve azonos állandó, U és V pedig az A és
B pontokra illeszkedő húr (vagy átmérő) két
végpontja. Itt (UVAB) a négy pont által
meghatározott szakaszok (előjeles) hosszából képzett számot, az ún. kettősviszonyt
jelöli:
A két modellt egymásba átvivő transzformáció,
melyet itt nem részletezünk, a –
közös – alapkör
átmérőire illeszkedő pontokat helyben hagyja, így ez a képlet a mi esetünkben
is használható azzal, hogy a c konstanst úgy kell megválasztanunk,
hogy a
esetben a
feltétel teljesüljön.

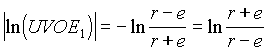
Mivel
,
ezért
.
Az
feltétel alapján
megkaphatjuk c értékét:
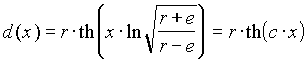
Ennek megfelelően a P-modell O
középpontján átmenő egyenes valamely X pontjára, melyre
azt kapjuk, hogy:
.Belátható, hogy
így X valóban az alapkör átmérőjének bármely
pontja lehet, azaz
.
Nekünk viszont most e függvény inverzére van szükségünk, amely a hiperbolikus sík egy O origójú számegyenesét viszi át a P-modell Descartes-féle koordinátarendszerébe.
A h(x) függvény inverze
, amely függvény értelmezési tartománya a valós számok halmaza, értékkészlete
a
nyitott intervallum.
Belátható, hogy minden n természetes számra
, vagyis a hiperbolikus síkon felvett számegyenesnek nem csak a természetes
számoknak megfelelő pontjai, hanem bármely
valós számhoz tartozó pontja is megadható a P-modellen.
A hiperbolikus sugársor tartó egyenesén
akkor is létre tudtunk hozni egy egységnyi szakaszokkal beosztott skálát,
ha azt nem az origóra illeszkedő átmérő modellezi. Ezt azonban az
itt vázolt esetre vezettük vissza.
Az egyirányú sugársorokat és paraciklusaikat szemlélve egy igen érdekes
következtetésre juthatunk. Ehhez fogalmazzunk meg egy –
talán semmitmondó – állítást
az abszolút geometria köréből:
Bármely két egyeneshez van olyan egybevágósági transzformáció, amely egyiket a másikba viszi át. |
Az "egyenes vonalzó" egy olyan sablon, amelyet bárhol elhelyezve a síkon, e sablon mentén egyenest tudunk rajzolni. |
Ugyanakkor az is igaz, hogy bármely
két paraciklust modellező (vagyis az alapkört érintő) körhöz van olyan
tengelyes tükrözéseket modellező inverzió-sorozat, amely ezeket egymásba
viszi át. Ez pedig azt jelenti, hogy:
Bármely két paraciklushoz van olyan egybevágósági transzformáció, amely egyiket a másikba viszi át. |
Tartójukkal megadott
sugársorok és ciklusok
A centrális sugársort és a hozzá tartozó ciklusok - koncentrikus körök - halmazát egyértelműen meghatározza a sugársor tartója, azaz centruma. |
Az egyirányú sugársort és a hozzá tartozó paraciklusok halmazát egyértelműen meghatározza a sugársor tartója, azaz a sugársort alkotó egyenesek közös végtelentávoli pontja. |
A sík két tetszőleges egyenese egyértelműen meghatároz egy sugársort, valamint a hozzá tartozó ciklusok halmazát. |
Három adott pontra illeszkedő ciklus
A sík három tetszőleges pontja egyértelműen meghatároz egy ciklust (vagy egyenest), amely meghatározza a hozzá tartozó sugársort. |
A hiperbolikus síkon a ciklus megadásához szükséges három pont közül legfeljebb kettő végtelen távoli is lehet. |