Danielle Macbeth
Logikai analízis, redukció és filozófiai megértés
Fordította Ribáry Márton
Absztrakt:
Russellnek „A denotálásról” című tanulmányában bemutatott leíráselméletét régóta tartják a filozófiai megértést megalapozó analízis paradigmájának. Azonban a logikai analízisnek nemcsak ez a modellje áll rendelkezésünkre. Frege igencsak eltérő nézőpontja szerint az analízis feladata nem az, hogy problematikus fogalmakat más, nem -problematikus fogalmakra vezessen vissza – ahogyan ezt Russell analízise teszi –, hanem az, hogy a kiindulópontul szolgáló fogalmakat mélyebben és világosabban fejtse ki.. Amellett érvelek, hogy ez a különbség kettejüknél a nyelv és a gondolat természetéről alkotott teljesen eltérő felfogásukból ered, és egyben a filozófiai megértés természetének két teljesen eltérő felfogását alapozza meg.
Russellnek „A denotálásról”1 című tanulmányában bemutatott leíráselméletét régóta tartják a logikai analízis és ezáltal a filozófiai megértés paradigmájának.2 Jóllehet, az analízis felfogásának Russell elméletében látható példája nem az egyetlen, ami rendelkezésünkre áll. Érett írásaiban Frege egy alternatív megoldást nyújt. Amíg Russell analízisfelfogása, amint azt látni fogjuk, alapvetően reduktív, addig a fregei nem az. Frege analízise nem terminusok egy készletének egy másikra való visszavezetésére, hanem a megértéshez kijelölt dolgok kifejtésére szolgál. Emiatt pedig az analízis, ahogyan azt Frege érti, a filozófiai megértés eszközeként kimutathatóan kiváló szolgálatot tesz.
Russell elmélete szerint a denotáló kifejezések – úgy, mint a „minden S”, „bármely S”, némely S”, „egyetlen S sem”, „egy S” és „az S” formájú kifejezések – félrevezetőek, amennyiben mondatbeli előfordulásuktól függetlenül jelentéssel bírónak tűnnek, ám valójában mégsem azok. Először Russellt magát is sikerült félrevezetniük. Ahogy azt A matematika alapelveiben írja, az ilyen kifejezés jelentése egy denotáló fogalom, amelyen Russell olyan entitást ért, amely egy kijelentés (propozíció) alkotórésze lehet, akárcsak egy (a russelli technikai értelembe vett) terminus, de ami a terminusoktól annyiban eltér, hogy valami olyat denotál, amiről maga a kijelentés szól: „egy fogalom denotál, amennyiben egy olyan kijelentésben fordul elő, mely kijelentés nem erről a fogalomról, hanem egy olyan terminusról szól, mely bizonyos meghatározott módon kapcsolódik e fogalomhoz”.3 Vegyük például a „minden kettőnél nagyobb prímszám páratlan” mondatot. Nem fér kétség ahhoz, hogy értjük e mondatot, megragadjuk az általa kifejezett kijelentést; és mégsem ismerjük, mert nem is ismerhetjük azt a végtelenül sok prímszámot, amiről látszólag ez a mondat szól. Az alapelvekben kifejtettek szerint, amit ehelyett megragadunk, az a „minden kettőnél nagyobb prímszám” denotáló fogalom. Ez a fogalom – az általa denotált végtelen számosságú prímmel ellentétben – egy véges entitás, melyet hasonlóképpen ismerünk meg, mint bármely más egyedi terminust.4 A denotáló fogalom gondolata, érvel Russell zAz alapelvekben, éppen innen nyeri „logikai rendeltetését”; a denotálásra vonatkozó elmélet célja, hogy „véges összetettségű kijelentéseket képessé tegyen terminusok végtelen osztályainak kezelésére” (141.§.) – habár más céloknak is eleget tesz, például képes magyarázni azt, hogy bizonyos azonosságállítások miért informatívak. Ezt az elméletet, valamint Meinong és Frege (russelli értelmezésben vett) elméleteit utasítja aztán vissza Russell 1905-ben „A denotálásról” című tanulmányában.
Amíg az Az alapelvekben Russell a denotáló kifejezéseket a kijelentés önmagukban is szignifikáns alkotórészeinek tekinti, addig későbbi leíráselméletében a denotáló kifejezéseket tartalmazó mondatokat olyan mondatokra kívánja visszavezetni, melyek kizárólag kijelentésfüggvényekre utaló jeleket és az ismerős logikai szókészlet elemeit tartalmazzák. Egy jól ismert példát véve, a „Franciaország jelenlegi királya kopasz” mondatot – mely látszólag Franciaország jelenlegi királyáról szól, ha egyáltalán szól valamiről – úgy kell érteni, hogy egy és csak egy jelenlegi királya van Franciaországnak, aki történetesen kopasz. Russell érvelése szerint az elmélet számot ad arról, hogy képesek vagyunk olyan mondatokat is megragadni, melyek az elemzést megelőzően úgy tűnnek, mintha végtelen halmazról szólnának. Számot ad emellett a határozott leírásokat tartalmazó azonosságok ismeretértékéről és a viselő nélküli nevet tartalmazó mondatok látszólagos értelmességéről. Továbbá Meinong elméletével szemben – mely szerint minden denotáló kifejezés valamely dolgot denotál, akár ellentmondásos tárgyat, is, mint például a kör alakú négyzet – Russell új elmélete nem sérti meg az ellentmondás-mentesség törvényét. Meinong elméletében egyaránt igaznak bizonyul, hogy a kör alakú négyzet kör alakú is, meg nem is; míg Russell elméletében mindkét állítás hamis lesz, mivel, habár mindketten állítják egy (egyedi) kör alakú négyzet létezését, valójában ilyen dolog egyszerűen nincs. Frege elméletével és Russell korábbi felfogásával szemben – mely szerint a viselő nélküli nevet vagy üres határozott leírást tartalmazó mondatok se nem igazak, se nem hamisak –az új russelli elmélet nem sérti meg, továbbá a kizárt harmadik törvényét sem: a korábbi elméletek szerint igazságérték nélküli mondatok Russell új analízisében egyszerűen hamisnak bizonyulnak. Végezetül pedig az elméletnek nem kell az értelem semmilyen, a denotációtól vagy a jelentéstől független fogalmához folyamodnia, egy olyan fogalomhoz, mely „egy kibogozhatatlan kuszaságot” tartalmaz, mely „azt látszik bizonyítani, hogy a jelentés [Sinn] és denotáció [Bedeutung] közötti egész megkülönböztetést helytelenül gondolták el.”5
Habár a russelli leíráselmélet, ahogyan azt „A denotálásról” mutatja be, a denotáló kifejezéseket érintő nehézségek egy sajátos, egymáshoz szorosan kapcsolódó halmazát kívánta kiküszöbölni, az elmélet jelentősége mind Russell, mind a későbbi filozófia számára kevésbé állt a problémák kiküszöböléséből,, mint inkább az alkalmazott elemzési módszerből, illetve az ott tetten érhető filozófiai megértésből. Russell már z Az alapelvekben elfordult ifjúkorának az analízist (ahogy ő gondolta) kárhozatosnak tartó hegeliánus holizmusától, és fordult éppen az analízis felé, különösen is a kijelentések alkotórészeik szerinti analízise felé. „A denotálásról” újdonsága az, hogy ebben az analízis reduktív jelleget ölt: eszerint a denotáló egységek nem magyarázatra, hanem a magyarázat nyomán kiküszöbölésre szorulnak. Míg a russelli logikai analízis reduktív, addig, mint látni fogjuk, a fregei nem az.6
A filozófiában az analízis célja a világosság és a megértés. Mind Russell, mind Frege számára a Cauchy, Bolzano és Weierstrass által a 19. században kidolgozott beszámoló a határérték-műveletekről nyújtotta a filozófiai módszer iskolapéldáját.7
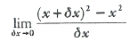
A 19. század előtt egy egyenletes görbe függvényhatárértéke vagy differenciálhányadosa alatt azt a határértéket értették, amihez a releváns különbségi kvóciens tekintetében δx értéke nullához közelít. Például x2 függvényhatárértéke így a következő módon adható meg:

Mint ez tudott volt, ennek értéke 2x-szel egyenlő. A problémát ennek bizonyítása jelentette. Leibniz algebrai módon a következővel érvelt:
![]()
A probléma most már az, hogy ebből az alakból a kívánt 2x-hez jussunk. A megoldás pedig, ahogy Leibniz híres érve szól, hogy tekintsük δx-et ha nem is nullával egyenlőnek, de legalábbis nagyon-nagyon kicsinynek, végtelenül kicsinynek, oly kicsinynek, hogy amikor azt bármely olyan közönséges számhoz adjuk hozzá, mint például a 2, akkor az összeg egyenlő lesz magával ezzel a számmal. Mivel δx nem egyenlő nullával, ezért a különbségi kvóciens továbbra is jelentéssel bír, de oly módon, hogy δx mégiscsak nullával egyenlő, hiszen 2x+δx=2x. Nem meglepő módon Leibniz megoldása nem vívott ki osztatlan elismerést. A problémát végül akkor sikerült megoldani, amikor rájöttek arra, hogy a határérték-műveletek alapvetően más típusúak, mint az algebraiak. Ahogy ezt Weierstrass világosan látta, ez esetben nem a határérték kiszámítása, megalkotása a feladat – ami lehetetlen módon egy végtelen lépéssorozat elvégzését követelné meg –, hanem annak leírása, hogy mi igaz erről az értékről. Durván azt mondhatjuk, hogy ha a δx tetszőlegesen kicsiny növekedésénél a különbségi kvóciens és valamely f(x) függvény közötti különbség kellőképpen kicsiny, akkor a kívánt függvényhatárérték pontosan f(x).
A határérték fogalmának hagyományos felfogása, és különösen is a határérték, ami mellett δx értéke nullához közelít, azért volt problematikus, mert úgy tűnt, hogy δx-nek egyszerre kell elérnie és emellett tetszőlegesen szorosan csak megközelítenie a nullát. Weierstrass munkáiban nem foglalkozik a határérték problematikus fogalmával, amit – Russell meglátása szerint – ismerős, már magától értetődőnek számító matematikai fogalmakra, többek között logikai fogalmakra vezet vissza: az általánosság és a kondicionális fogalmára. Russell leíráselméletére könnyen tekinthetünk éppen e séma alapján, mint ami a denotáló kifejezés problematikus fogalmát nélkülözi, hogy helyette ismerős és viszonylag problémamentes elemeket alkalmazzon: ilyen a predikátum (vagy ahogy Russell utal rá: kijelentésfüggvény), logikai fogalmak,: az általánosság, azonosság, valamint az igazságfüggvényként működő mondatfunktorok. Innen nézve, Russell korai műveiben a denotáló kifejezés azért volt problematikus, mert úgy tűnt, hogy egyszerre alkotóeleme is, meg nem is egy kijelentésnek; amire valamiképpen gondolnunk is kell, meg nem is. Russell arra a belátásra jutott, hogy semmi sem képes ilyen ellentmondásos szerepeket egyszerre betölteni. Amint a határértéknek mint egy végtelen lépéssorozat végpontjának korai fogalmát Cauchy, Bolzano és Weierstrass munkássága révén száműzték a matematikából, oly módon kellett volna száműzni a denotáló fogalmakat is Bertrand Russell munkássága révén a logikából és a filozófiából.
Russell leíráselmélete, mint láttuk, az analízis rendszerező szigorúságában szorosan követi Cauchy, Bolzano és Weierstrass munkáinak példáját. Mégis, míg utóbbi munkát széles körben és joggal tekintették hatalmas intellektuális eredménynek, addig Russell leíráselmélete nem vívott ki osztatlan elismerést. Habár a leíráselmélet technikailag eleget tesz azoknak a feltételeknek, amit Russell egy ilyen elmélettől megkövetel, de nem képes tisztázni a megoldandó probléma mibenlétét, és így nem eredményez filozófiai értelemben vett megértést. Ahogy ezt maga Russell is kiemeli8: „A denotálásról” leíráselmélete egyaránt kontraintuitív és „látszólag túlzottan bonyolult”; az elméletet nem belső meggyőző ereje, hanem a többi elméletben Russell által megoldhatatlannak vélt nehézségek elkerülése igazolja. Valami azonban félrecsúszott, miközben a matematikáról a filozófiára tértünk át. Fregenek a nyelv működésével kapcsolatos észrevételei, különösképpen a Sinn és a Bedeutung közti különbség felismerése az 1890-es évek elején, segíthetnek megérteni ennek okát.9
Russell nyelvfelfogása szerint, amely Frege korai munkáiban is megjelenik, a mondatok előzetesen is jelentéssel bíró részekből épülnek fel a következő módon. Egyszerű jelek saját tartalmukat – az általuk jelölt tárgyakat és tulajdonságokat (vagy kijelentésfüggvényeket) – képviselik, a mondatok pedig ezeket a tárgyakat és tulajdonságokat bizonyos logikai viszonyokban jelenítik meg. Frege már 1884-es Az aritmetika alapjai című munkájában elfordul a nyelv ezen felfogásától, mivel szerinte egy szó jelentését sosem önmagában, hanem mindig egy mondat kontextusában és egy elemzés függvényében keressük. Nézetét az „1+1+1=3” egyszerű aritmetikai azonosságról tett észrevételeivel indokolja. Ez a mondat nyilvánvalóan egy aritmetikai igazságot fejez ki. Az viszont már nem ilyen nyilvánvaló, hogyan is kéne ezt olvasnunk. Első pillantásra tekinthetjük az 1-es számjegy előfordulásait úgy, mint amik egyenként az 1-es számot jelölik, a mondatot pedig annak kifejezéseként, hogy az 1-es szám és az 1-es szám és az 1-es szám együttesen 3-mal egyenlő. Valójában viszont csak egy 1 van, érvel Frege, és ugyanúgy az 1-et kapjuk, akárhányszor is rakjuk össze az 1-et önmagával. Csak egy 1 van, és az „1+1+1=3” mondat mégis egy aritmetikai igazságot fejez ki. Másképpen kell olvasnunk a nyelvet ahhoz, hogy ezt megértsük. Ahelyett, hogy úgy vennénk, az arab számrendszer egyszerű jelei a használattól függetlenül szolgálnak számok jelölésére – hogy például az 1-es számjegy minden körülmények között az 1-es számot jelöli –, ezeket a jeleket inkább úgy kellene értenünk, mint amik használatuk előtt csupán egy adott értelmet fejeznek ki. A jelek összekapcsolásával egy gondolatot kifejező mondatot kapunk, melyet sokféle módon elemezhetünk függvény és argumentum viszonyaként; és az elemzések egyike sincs kiváltságos helyzetben a többihez képest. Az „1+1+1=3” mondatot például vehetjük úgy, mint ami a ξ+1+1=3 függvény és argumentumként az 1-es szám kombinációja. Vagy vehetjük az „1+1+1” és a „3” tárgyneveket, melyek egyaránt a 3-as” számot jelölik (jóllehet más és más megjelenítési mód szerint), hogy a ξ=ζ kétargumentumú reláció egy-egy argumentumát jelöljük velük. Megint másképpen vehetjük az „1+1” tárgynevet a ξ+1=3 függvény argumentumának jelölésére. Világos, hogy további elemzések is lehetségesek. Egy mondat olvasata tehát nem ezt vagy azt a tárgyat jeleníti meg, hanem egy adott értelmet fejez ki. Az eképpenekképpen elgondolt nyelv szubszentenciális kifejezései csak konkrét függvény-argumentum elemzésekhez viszonyítva jelölnek tárgyakat és fogalmakat.10
Ugyanez az észrevétel tehető az általános mondatokról, többek között a Fogalomírásban kifejtett ítéletről:
![]()
Mint a Fogalomírás bármely mondata, ez is különböző módokon elemezhető. Olvasható például úgy, mint ami, tegyük fel, a „piros” és „színnel bíró” fogalmak alárendeltségi viszonyáról szóló gondolatot fejez ki, amit a következő, másodszintű alárendeltségi viszonyt tartalmazó kifejezéssel jelölhetünk a Cξ és Rξ argumentumokra:
![]()
Ugyanilyen módon a fenti mondatot vehetjük úgy is, mint ami a
![]()
másodszintű fogalmat tartalmazza a
![]()
argumentumra.
Megint másképpen vehetjük úgy is, mint ami tartalmazza a
![]()
másodszintű fogalmat a Cξ argumentumra, stb.
Egy bizonyos állító mondat, mint például a
![]()
lényegében hasonló módon elemezhető, jóllehet mivel logikailag összetettebb, esetében még több elemzési mód lehetséges. Attól függően, hogy a vízszintesek hogyan olvadnak össze, a mondat többek között a következőképpen olvasható: mint
![]()
azt az ítéletet fejezi ki, hogy a négyzetgyöke négynek és a nem negyedik gyöke tizenhatnak fogalmak egy másodszintű alárendeltségi viszonyban kapcsolódnak össze. Mint
![]()
azt az ítéletet fejezi ki, hogy létezik olyan dolog, mely egyaránt négyzetgyöke négynek és negyedik gyöke tizenhatnak. Mint
![]()
ugyanaz a mondat az összeegyeztethetőség másodszintű (logikai) tulajdonságát tulajdonítja a négy négyzetgyöke és a tizenhat negyedik gyöke fogalmaknak. Ez az elemzés azt mondja ki, hogy négy négyzetgyöke lehet negyedik gyöke tizenhatnak.11 Más elemzések ugyanígy lehetségesek. A függvény -argumentum-alapú elemzéstől függetlenül a Fogalomírás ezen egyedi kijelentő mondatával az itt felsoroltak egyikét sem „mondtuk”, a többi kizárása mellett. Sokkal inkább azt a következtetési potenciált, a begrifflicher Inhalt-ot jelenítettük meg, amely közös mindegyikükben. Tudjuk: ahhoz, hogy logikai általánosságokról szóló következtetések helyességét megértsük, a mondatoknak különböző elemzési lehetőségeit kell számba vennünk.. A kétdimenzionalitásuk miatt a Fogalomírás mondatai (az imént mondottak értelmében) nyíltan hordozzák magukon ezt a potenciált.
A nyelv itt vázolt fregei felfogása alapján a nyelv egyszerű jelei mondatbeli előfordulásaiktól függetlenül csupán egy értelmet fejeznek ki. Úgy ragadunk meg egy mondatot, az általa kifejezett gondolatot, hogy a mondatban szereplő egyszerű jelek értelmét ragadjuk meg az épp aktuális elrendezésben. Ezután a mondatnak magának sokféle elemzése vezethet akár egyszerű, akár összetett szubszentenciális kifejezésekhez, melyek objektív entitásokat, nevezetesen tárgyakat és fogalmakat jelölhetnek. E felfogás értelmében a fogalmakat nem más fogalmak együtteseként alkotjuk meg, amelyet egyfajta logikai ragasztóanyag tart össze – logikai fogalmak, mint például a kondicionális és az általánosság jelei, ahogyan azt Frege először gondolta. A fogalmakat nem összerakjuk; hanem a fogalmak egyszerűen együttjárásokról szóló törvények, amelyek tárgyakhoz igazságértékeket rendelnek (legalábbis az elsőszintű fogalmak esetén). Fogalomszavakként szolgáló jelek mint megjelölői vagy kifejezői a fogalmaknak, az aritmetikai függvények jeleihez hasonlóan összetettek lehetnek; de maguk a fogalmak, a releváns aritmetikai függvényekhez hasonlóan, egyszerűek.
Fregének a mondatról alkotott érett felfogása alapján a szerkezet három szintje különböztethető meg. Míg a legalsó szinten a mondat a nyelv egyszerű jeleinek bizonyos módon való elrendezése, addig a legfelső szinten a mondat önmagában alkot egységet, egy gondolatot kifejező és igazságértéket jelölő egészet. A kettő közötti szinten találhatóak a tárgynevek és a fogalomszavak, amelyeket az elemzés során tárunk föl. Ezzel szemben Russell elmélete alapján a mondatnak csupán két szintje van, az egyiket az egyszerű, jelentéssel bíró, a mondat bármely használatának körülményeitől függetlenül is értelmes részek alkotják, a másik szint pedig az ezen részekből felépülő egész. Kiküszöbölendő bármely látszólag köztes, jelentéssel bíró rész, amit például egy denotáló kifejezés (többek között egy határozott leírás) jelezhet. Éppen ez, a nyelv két felfogása közti különbség adhat számot a russelli elmélettel szemben támasztott nehézségeinkről.
Tekintsük elsőként a folytonosság Weierstrass-féle felfogását a kvantifikáció alapján: az f függvény folytonos az a pontban, ha
(>0)(>0)(x)(|x| < |f(x + a) – f(a)| < ).
E mondat a hagyományos, kvantifikációelméleti olvasatban lényegében ugyanolyan logikai szerkezetű, mint egy russelli kijelentés, ahogyan az megjelenik „A denotálásról” c.ímű tanulmányban. A mondat olyan előzetesen is jelentéssel bíró részekből épül fel, melyeket a nyelv standard szemantikája határoz meg, és a részek a nyelv szintaktikai szabályainak megfelelően alkotnak egészet. Ebben az értelmezésben tehát a folytonosság fogalma nem magyarázat, hanem redukció tárgyává válik, azaz kiküszöbölésre kerül. Nem képez mást az adott logikai elrendezésben megjelenő részein túl és kívül.
Vessük most össze ezt ugyanannak a fogalomnak a fregei felfogásával: a Φ függvény folytonos Α pontban, ha12

Ahogy Frege az ehhez hasonló mondatokat olvassa, ez a mondat is csak értelmet, egy fregei, bármely elemzéstől független gondolatot jelenít meg – jóllehet ez esetben körvonalazódik már egy bizonyos elemzés. A „Φ” és „Α” görög betűk egy magasabb szintű fogalomszó argumentumhelyeit jelzik. Így tehát megkapunk egy a folytonosság fogalmát jelölő kifejezést (az adott elemzéshez képest); megkapjuk egy jelét avagy nevét e fogalomnak. A fogalmat ez az elmélet nem kiküszöbölte, hanem megmagyarázta; kognitív tartalmát úgy jelenítette meg, hogy a tartalom mibenléte kellőképpen világossá vált. Ugyanez igaz arra is, hogy Frege mit értene azonrról, amit Russell denotáló kifejezésnek gondol. Tekintsük ismét azt a konkrét kijelentő mondatot, mely szerint valamely négyzetgyöke négynek negyedik gyöke tizenhatnak:

Mint láttuk, az egyik elemzésében a mondat azt állítja, hogy van olyan dolog, mely egyaránt négyzetgyöke négynek és negyedik gyöke tizenhatnak:

Ez esetben semmiféle denotáló kifejezés nem jelenik meg; a mondat csupán egy első szintű fogalmat (nevezetesen a mind négynek négyzetgyöke, mind tizenhatnak negyedik gyöke fogalmat) és egy másodszintű fogalmat (az instanciáltság fogalmát) tartalmaz. Egy másik elemzésben a mondat négynek valamely négyzetgyökéről (amelyet közelebbről nem határozunk meg) tesz állítást, ti. azt, hogy negyedik gyöke tizenhatnak:
![]()
Ebben az elemzésben a „négynek valamely négyzetgyöke” kifejezésnek megfelelő jelentéssel bíró alegységet találunk. Amint pedig láttuk, további elemzési módok is lehetségesek. Elemzéstől függetlenül a mondat egyetlen fogalmat vagy tárgyat sem denotál. Csupán egy értelmet, egy fregei gondolatot jelenít meg, ami az ítélet és a következtetés érdekében különböző módokon elemezhető mint függvény és argumentum kombinációja.
Azt állítottam, hogy Frege és Russell két teljesen különböző felfogást kínál az írott szimbolikus nyelv működésére. Russell felfogása minden lényeges tekintetben a modern kvantifikációs kalkulus modell-elméleti felfogása: eszerint megkülönböztetjük egyrészről a mondat formáját, mely logikai és nem logikai konstansok és változók segítségével jelenik meg; másrészről a mondat nem logikai tartalmát, ahogyan azt egy interpretáció határozza meg, meghatározott kvantifikációs tartományokhoz képest jelentést rendelve a releváns szubszentenciális kifejezésekhez.13 Fregének az írott szimbolikus nyelv működéséről alkotott felfogása döntően különbözik ettől. Frege szerint a nyelv egyszerű jelei csupán mondatbeli előfordulásuktól függetlenül fejeznek ki egy értelmet; kizárólag a mondat egy elemzésének viszonylatában beszélhetünk tárgyak neveiről és fogalomszavakról, ezáltal pontosítván, hogy miről szól a mondat (legalábbis az adott elemzésen belül). Ez viszont azt jelenti, amint ezt korábban láthattuk, hogy a fogalmak tartalma megjeleníthető a nyelv fregei felfogásában: ezek lesznek az értelmek, amelyeket fogalmakat megjelölő fogalomszavak fejeznek ki. A logikai elemzés, mely Russell számára lényegében reduktív, Frege számára az a tisztázó folyamat, melyet fogalomszavaink és tárgyneveink által kifejezett értelem tekintetében kell elvégeznünk. Ahogy Frege a Logik in der Mathematik (1914) kéziratában rámutat: „a logikai elemzés […] hatása […] végül pontosan ez lesz – az értelem világos megfogalmazása”.14 Éppen ezt az eredményt tudhatja magáénak Weierstrass a folytonosság fogalma és Frege a nyelv azon elemei esetén, melyet Russell denotáló kifejezéseknek tartott.
Amint láttuk, a logikai analízis feladata két teljesen különböző módon fogható fel: vagy reduktív módon – mint a „nagyokból kicsik készítésének” feladata, ahogy egy helyen Sellars fogalmaz –, vagy nem reduktív módon – mint az a feladat, hogy szavaink értelmét világosan fogalmazzuk meg.15 Továbbá láttuk azt is, hogy a Cauchy, Bolzano és Weierstrass munkáiban kidolgozott folytonosságfogalom mindkét módon érthető, azaz mind reduktív (Russell), mind nem reduktív módon (Frege). Nyilvánvalónak tűnik számomra, hogy Frege módszere jobb választás az előrelépés – mint a matematikai megértésben tett előrelépés – feltárására. Mégis Russell módszere vált dominánssá az analitikus filozófiában, mind a 20. század első felében a logikai pozitivisták munkáiban, mind a század második felében, például Quine-nál és Dummettnél. A filozófiai analízis reduktív felfogásának sok bírálója akadt, legnevezetesebb közülük a kései Wittgenstein és McDowell, de amennyiben e bírálók „kvietsiták”16 abban az értelemben, hogy nemcsak a reduktív analízist, de látszólag magát a filozófiai analízist is elutasítják, kritikájukat túlzott módon figyelmen kívül hagyták. Ilyen „kvietizmus” akkor lenne érthető, ha a standard modellelméleti koncepció jelentené a nyelv egyetlen rendelkezésre álló felfogását, mely két részből áll: egyrészről a logikai formából, másrészről egy modell, interpretáció vagy szemantika által biztosított tartalomból. Ha a reduktív analízis volna az analízis egyetlen formája, amely a filozófusok rendelkezésére áll, akkor talán az analízistől magától kellene megszabadulnunk. De más forma is rendelkezésünkre áll, és ennek oka nem az, hogy hogy a nyelv modell-elméleti felfogásán kívül létezik más nyelvfelfogás is. Alternatívát kínál a mondatok jelentésének és a szubszentenciális kifejezések (analízisfüggő) jelentésének fregei felfogása: hogy milyen Sinn-t fejeznek ki és milyen Bedeutung-ot jelölnek. Ez az alternatív javaslat pedig egyértelműen az analízis nem reduktív felfogását támasztja alá. Mennyire másképpen alakult volna a 20. századi analitikus filozófia, ha Russell mindezt képes lett volna megérteni!
A fordítás Ribáry Márton munkája.
Jegyzetek
1 A denotálásról című tanulmány először a Mindban látott napvilágot 1905-ben, majd az R.C. Marsh által szerkesztett Logic and Knowledge: Essays 1901-1950 (London-New York: Routledge, 1956) című kötetben jelent meg újra. A hivatkozásoknál ez utóbbi kiadás oldalszámait adom meg. [A tanulmány magyarul az Irving M. Copi és James A. Gould által szerkesztett Kortárs tanulmányok a logikaelmélet kérdéseiről (Budapest: Gondolat Kiadó, 1985) című kötet 221-255. oldalain jelent meg. Zárójelben ezen kiadás oldalszámait adjuk meg a szerző hivatkozásai után. Új, javított fordítása a Világosság 2005/12. számában jelenik meg – a ford.] Az elméletet Russell az Introduction to Mathematical Philosophy (London-New York: Routledge, 1953) című kötetben újra bemutatta.
2 Ehhez lásd többek között Ramsey, „Philosophy” (1928) in Ramsey, F.P., Mellor, D.H., szerk., Philosophical Papers (Cambridge: Cambridge University Press, 1990), 1. o. 1. bekezdés.
3 Russel, Bertrand, The Principles of Mathematics. [A matematika alapelvei] (London: George Allen and Urwin, 1903) 56.§.
4 Ahogy arra Az alapelvek 72.§-ban Russell rámutat: „egy végtelenül összetett fogalom, habár előfordulhat ilyen, az emberi intelligencia számára bizonyosan kezelhetetlen; de a denotálás folytán végtelen halmazok anélkül válnak kezelhetőkké, hogy a végtelen összetettség bármilyen fogalmát be kellene vezetnünk.”
5 Russell, „A denotálásról”, 50. o. [a magyar kiadásban 157. o.]. Ehhez lásd Griffin, Nicholas, „Denoting Concepts in The Principles of Mathematics”, illetve Noonan, Harold, „The ’Gray’s Elegy’ Argument – and Others”, mindkettő a Ray Monk és Anthony Palmer által szerkesztett Bertrand Russell and the Origins of Analytical Philosophy (Bristol: Thoemmes Press, 1996) című kötetben.
6 Természetesen az aritmetika esetén Frege törekedett egyfajta redukcióra; logicizmusának célja az volt, hogy megmutassa: az aritmetikai igazságok nem egyébből, mint logikai igazságokból származnak. A logikai pozitivistákkal ellentétben viszont a reduktív analízist nem tartotta a filozófia mint olyan módszerének.
7 A kérdést, hogy e munka milyen jelentőséggel bírt Russell számára, részletesen elemzi Ray Monk „Was Russell an Analytical Philosopher?” című írása a Hans-Johann Glock által szerkesztett The Rise of Analytical Philosophy (Oxford: Blackwell, 1997) című kötetben. Lásd még Rusnock, Paul, „Bolzano and the Tradition of Analysis” in Künne, Wolfgang-Siebel, Mark-Textor, Mark, szerk., Bolzano and Analytic Philosophy (mint Grazer Philosophische Studien 53 (1997), 61-85. o.), 82. o. Hogy milyen jelentős volt e munka Frege számára, az jól látható Az aritmetika alapjai (1884) nyitó szakaszában [magyarul Máté András fordításában (Budapest: Áron Kiadó, 1990) – a ford.].
8 Russell, „A denotálásról”, 45. és 56. o. [a magyar kiadásban: 150. és 166. o.]
9 Frege logikai nyelvének kivonatolt olvasatát dolgozta ki és védelmezte a szerző következő könyve: Frege’s Logic (Cambridge, Mass.: Harvard University Press, 2005)
10 Ha a szigorúan logikus nyelv működésének itt tárgyalt, Frege érett felfogásában megjelenő értelmét vesszük, akkor könnyű belátni, hogy megalapozatlan a predikáló kifejezések értelméről alkotott fregei felfogás jól ismert Dummett-féle kritikája. A kritika állítása szerint Frege két összeegyeztethetetlen követelményt támaszt a predikáló kifejezések értelmével szemben: (1) a gondolat kompozicionalitása megköveteli, hogy a predikátumok értelme olyan függvény legyen, amelynek bemenete egyedi terminus(ok) értelme, kimenete pedig egy gondolat (mely egy mondat értelme), illetve (2) a predikáló kifejezések értelme tárgyakhoz igazságértéket rendelő függvények megjelenítési módjait tartalmazza. Valójában viszont az egyszerű kifejezések értelme bír jelentőséggel a kompozicionalitás szempontjából. Továbbá az elemzés eredményeként megjelenő fogalomszavak tartalmazzák majd tárgyakhoz igazságértéket rendelő függvények megjelenítési módjait. Könnyű ezután belátni azt is, hogyan lehetségesek olyan gondolatot kifejező mondatok, melyek semmilyen igazságértéket nem képesek jelölni. Például a „2/0=5” aritmetikai mondat semmilyen jelentéssel nem bír, mégis kifejez egy gondolatot, amihez a benne szereplő egyszerű jelek értelmének megragadásával jutunk el. Nem jelöl semmilyen igazságértéket, se nem igaz, se nem hamis, mivel a „2/0” jel egyetlen számot sem jelöl. Mivel pedig a jel egyetlen számot sem jelöl, ezért a mondatnak nincs olyan elemzése, mely argumentumot és függvényt jelölő kifejezéseket eredményezne. Az elemzés egyik vagy másik fogalma elkerülhetetlenül semmit sem fog denotálni, és emiatt maga a mondat sem képes denotálni semmilyen igazságértéket – annak ellenére, hogy sikeresen fejez ki egy gondolatot.
11 [Gottlob Frege, Begriffsschrift, eine der arithmetischen nachgebildete Formelsprache des reinen Denkens. Második (reprint) kiadása az I. Angelelli által szerkesztett kötetben: Frege, Begriffsschrift und andere Aufsätze. (Hildesheim: G. Olms, 1964. ix). Első kiadás: (Halle, 1879) – Nem teljes magyar fordítása: Fogalomírás in Frege, Logikai vizsgálódások. Válogatott tanulmányok. Fordította és szerkesztette Máté András, kommentálta Ruzsa Imre (Budapest: Osiris, 2000) – a ford.] A Fogalomírás 12.§-ban Frege azt mondja, hogy egy egyedi kijelentő mondat az általa javasolt logikai nyelvben vagy abban formában olvasható, hogy „némely (legalább egy) S az P”, vagy abban a formában, hogy „lehetséges egy S számára, hogy egy P legyen”. Ha Frege logikai nyelvét a kvantifikációelmélet szerint olvassuk, akkor ez az állítás kétségtelenül hamis, a Fogalomírást olvasata szerint viszont igaz. E két magyar mondat a fregei értelem kétdimenziós megjelenésének két különböző elemzésére vonatkozik.
12 Frege a folytonosság fogalmának itt következő elemzését a „Boole’s Logical Calculus and the Concept-script” című írásában mutatja be, mely megtalálható Fregének a Hans Hermes, Frierich Kambartel és Frierich Kaulbach által szerkesztett, Peter Long és Roger White által fordított Posthumous Writings (Chicago: University of Chicago Press, 1979) című kötete 24. oldalán.
13 Természetesen van némi különbség Russell felfogása és az általunk is alkalmazott standard modell-elméleti felfogás között. Frege felfogásával összevetve ehelyütt csupán a hasonlóságok számítanak. Különösen az, hogy mindkettő alapján hamis Fregének a kontextualitásról alkotott alapelve: szavak igenis bírnak jelentéssel (denotációval) mondatbeli előfordulásuktól függetlenül is. A jelentés ezen igazságfeltétel -alapú felfogása a döntő különbség egyrészről a fregei, másrészről a russelli és a saját felfogásunk között.
14 Posthumous Writings, 211. o.
15 Sellars, Wilfrid, „Empiricism and the Philosophy of Mind”, 40.§., újranyomva a Science, Perception and Reality (London: Routledge and Kegan Paul, 1963) című kötetben.
16 A kvietizmus 17. századi katolikus mozgalom Délnyugat-Európában, ami túlkapásai miatt elutasította az egyházat mint bürokratikus szervezetet, és az egyház spirituális felfogását hangsúlyozta. – Ebben az értelemben Wittgenstein és McDowell „kvietizmusa” az lehet, hogy a reduktív analízis bizonyos hibái miatt az analízist egészében utasítja el. (a ford.)